阿摩線上測驗
登入
首頁
>
技檢◆數位電子-甲級
> 114年 - 11700 數位電子 甲級 工作項目 05:電子學與電子電路 51-100(2025/12/12 更新)#134859
114年 - 11700 數位電子 甲級 工作項目 05:電子學與電子電路 51-100(2025/12/12 更新)#134859
科目:
技檢◆數位電子-甲級 |
年份:
114年 |
選擇題數:
50 |
申論題數:
0
試卷資訊
所屬科目:
技檢◆數位電子-甲級
選擇題 (50)
51. 有一 FET,若μ=45,gm=300μA/V,則 r
d
為 (A)15KΩ (B)67KΩ (C)135KΩ (D)150KΩ 。
52. N 通道空乏型 MOSFET,其閘源極間加上一負電壓(VGS<0)時,則通道寬度 (A)加大 (B)減少 (C)沒有變化 (D)不一定 。
53. 下圖之電路,假設 OP 輸出飽合電壓為+15V 或-15V,Vo 為
(A)+15V (B)-15V (C)+30V (D)-30V 。
54. 某一數值訊號 01010000,經由下圖中的 DAC 做轉換工作之後,其輸出之類比電壓為
(A)7.5V (B)5.25V (C)3.125V (D)1.125V 。
55. 高頻截止頻率為 2KHz 的放大器,對於 6KHz 的信號,其增益為中頻段增益的若干倍? (A)1/2 (B)1/5 (C)
(D)
。
56. 放大器的上升時間 Tr、與高頻截止頻率 fh 間的關係為 (A)Tr fh=0.35 (B)Tr=fh/0.35 (C)1/Tr=fh (D)fh=Tr 。
57. 下圖之電路,若 Av 為其電壓增益,則此電路的輸入阻抗為
(A)R1//R2//RG (B)RG/(1-Av) (C)RG+R1//R2 (D)RG+R1//R2//RS 。
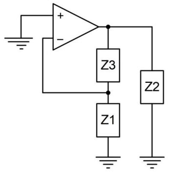
58. 下圖之電路,設 Z1=jX1,Z2=jX2,Z3=jX3,則其產生振盪的條件為何?
(A)X1=X2=X3 (B)X2=X1+X3 (C)X1+X2+X3=0 (D)(Z1+Z3)/Z2=0 。
59. 下圖之電路,V
O1
或 V
O2
之頻率 f 為
(A)250Hz (B)500Hz (C)750Hz (D)1KHz 。
60. 下圖之等效電路,若 Ai=-I2/I1,則下列敘述何者正確?
(A)Z1=Z/(1-Ai),Z2=Z(1-1/Ai) (B)Z1=Z(1-Ai),Z2=Z(1-1/Ai) (C)Z1=Z(1-1/Ai),Z2=Z(1-Ai) (D)Z1=Z(1-1/Ai),Z2=Z/(1-Ai) 。
61. 下圖之電路,其輸出阻抗約為
(A)RD//(rd+gmRS) (B)[rd+(u+1)RS/u]//RD(C)RD//rd (D)RD//[rd+(1+u)RS] 。
62. 下圖之電路,電晶體 Q1 的作用為何?
(A)Q1 與 Q2 形成達靈頓電路 (B)Q1 可以提升電路的輸入阻抗 (C)Q1 與 Q2 形成串級放大 (D)Q1 作為溫度補償 。
63. 下圖之差動放大電路,其共模拒斥比(CMRR)約為何?
(A)20 (B)200 (C)2000 (D)20000 。
64. 若二極體兩端電壓為 Vd,通過之電流為 Id,而 Io 為其逆向飽和電流,另外η為材質常數,k 為波茲曼常數,T 為接合面之絕對溫度,e 為自然對數的底,Vt 為溫度的伏特當量,則下列敘述何者正確? (A)Id=Io×e
vd
/(e
vt
),Vt=qkT (B)Id=Io×(e
vd
/(e
vt
)-1),Vt=kT/q (C)Id=η×e
vd
/Vt×(Io-1),Vt=kT/q (D)Id=Io+Vd/Vt,Vt=qkT 。
65. 下圖之電路的截止(Critical)頻率為
(A)159Hz (B)318Hz (C)512Hz (D)1,024Hz 。
66. 下列三端子電壓調整器,何者輸出電壓極性與眾不同? (A)LM317 (B)LM340 (C)LM1117 (D)LM309 。
67. 下圖所示,D 為理想二極體時,則流過 D 之電流值與 D 兩端間的電壓值分別為
(A)2.15mA,0.7V (B)2.5mA,0V (C)0mA,5V (D)1mA,3V 。
68. 頻率在 30MHz~300MHz 之電磁波是屬於下列何者之範圍? (A)UHF (B)VHF (C)SHF (D)微波 。
69. 產生駐波之原因為 (A)導線無限長 (B)訊號太強 (C)特性阻抗不同 (D)訊號太弱 。
70. 較不具方向性的天線是 (A)環形天線 (B)菱形天線 (C)T形天線 (D)馬可尼天線 。
71. 方波由其最大平均振幅的 10%上升到 90%之間所需的時間稱為 (A)上升時間 (B)設定時間 (C)起始時間 (D)導通時間 。
72. 商用 FM 廣播頻道的頻帶寬度為 (A)10KHz (B)20KHz (C)100KHz (D)200KHz 。
73. 某傳輸線入射波為 20 伏特,反射波為 10 伏特,則其駐波比為 (A)1 (B)2(C)3 (D)4 。
74. 下列何種天線是具有指向性(Directivity)的特性? (A)摺疊天線 (B)八木天線 (C)半波偶極天線 (D)環形天線 。
75. 下圖之電路為
(A)對數 (B)電壓放大 (C)電流對電壓轉換 (D)峰值檢出電路 。
76. 有關下圖的韋恩振盪電路,下列敘述何者錯誤?
(A)輸出頻率約為159.2KHz (B)初始閉迴路電壓增益為 4,振盪穩定後降為 3 (C)輸出波形為弦式波 (D)D1 和 D2 用來抑制輸出之信號使振幅保持定值 。
77. 有關下列電路圖的敘述,何者錯誤?
(A)為一哈特萊振盪器 (B)輸出信號頻率約為 796KHz (C)L2 是回授元件,所以頻率是由 L1 和 C 決定 (D)輸出波形為弦式波 。
78. 下列電路圖中,圖(b)為圖(a)密勒化後之等效電路圖,有關電路的敘述,下列何者錯誤?
(A)是一種「並聯-串聯(PS)式負回授」電路 (B)將 R電阻化成為密勒等效輸入電阻 R
I
為
(C)將 R 電阻化成為密勒等效輸出電阻 R
O
為
(D)本電路可用來做為電流對電壓的轉換器 。
79. 下圖的圖(a)為 CE 電路,圖(b)為其交、直流負載線圖,下列敘述何者錯誤?
(A)A 點電流為
(B)B 點電流為
(C)C 點電壓為V
CEQ
+I
CQ
.R
C
(D)D 點電壓為V
CC
+I
CQ
.R
C
。
80. 有一 JFET 放大電路,根據資料手冊載明,當 V
GS(off )
=-8V,I
DSS
=9mA,則當 V
GS
=-4V,其 ID 為 (A)2.25mA (B)3.25mA (C)4.25mA (D)5.25mA 。
81. 下圖為一放大電路,依據特性表上記載,Q 的 V
GS
=5V,V
GS(TH )
=2V 時,I
D(ON)
=180mA。可算出下圖電路的 I
D
為
(A)60mA (B)80mA (C)100mA (D)120mA 。
82. 有一 60Hz 正弦波電源,經全波整流後峰值為 100V,其 2 次諧波(n=2)的峰值約為 (A)6.6V (B)8.4V (C)42.4V (D)64V 。
83. 下圖為一種主動低通濾波器,求此電路臨界頻率(critical frequency)為
(A)159Hz (B)1.59KHz (C)15.9KHz (D)159KHz 。
84. 有一放大器之開路增益為 150,000,開路 3dB 頻帶寬為 200Hz,回授衰減因數為 0.002,則閉路頻帶寬為 (A)6.0KHz (B)60.2KHz (C)7.5MHz (D)75MHz 。
85. 一 OPA 元件之開路增益為 100dB,且單一增益頻帶寬為 3MHz,若接成下圖之反相放大器,其閉路頻寬為
(A)1KHz (B)30KHz (C)50KHz (D)60KHz 。
86. 下圖為一種主動高通濾波電路,設 C1=C2=100pF,R1=R2=R,若想獲得電路臨界頻率為 159KHz,其 R 值約為
(A)100Ω (B)1KΩ (C)10KΩ (D)100KΩ 。
87. 下圖之積分器電路,其輸出電壓對應單一脈衝輸入之改變率為
(A)+50mv/ms (B)-50mv/ms (C)+50mv/μs (D)-50mv/μs 。
88. 下列哪一種電路的輸出波形與其他三種電路不同? (A)RC 相移振盪器 (B)考畢子振盪器 (C)韋恩電橋振盪器(Wien bridge) (D)不穩態多諧振盪器 。
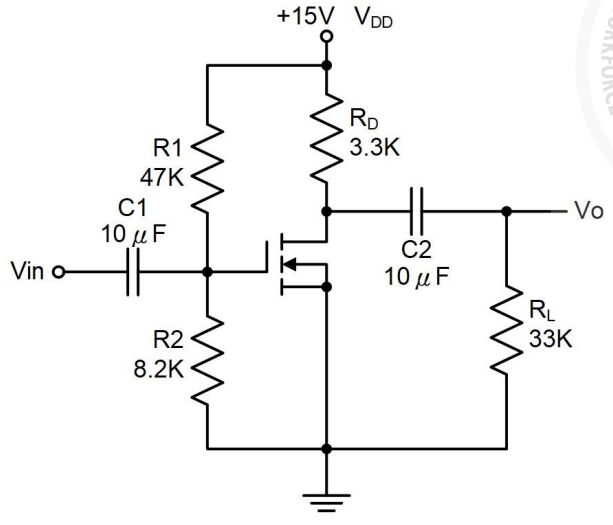
89. 下圖採用增強型-MOSFET 的共源極放大電路,已知在 V
GS
=4V 時,I
D(ON)
=200mA,gm=23ms,當 Vs=25mV 時,Vo 的輸出電壓為
(A)0.6V (B)0.875V (C)1.2V (D)1.73V 。
90. 有一輸入為 RC 放大電路,已知輸入電阻 Rin=1KΩ,C1=1μF,忽略信號源的電阻,則其最低臨界頻率(critical frequency)約為 (A)159Hz (B)1.59KHz (C)15.9KHz (D)159KHz 。
91. 一 RC 落後網路,已知其臨界頻率(fc)為 100Hz,則當輸入信號為100Hz 時,其落後的相角為 (A)+45° (B)+15° (C)-15° (D)-45° 。
92. 有關 C 類放大器的敘述,下列何者錯誤? (A)對輸入信號在輸入電路中僅導通一小段週期 (B)其工作點 Q 位於截止區中 (C)放大效率小,所以不會有波形放大後失真的情形 (D)常用來做為調諧放大器 。
93. 下列哪一項電路通常不必包含在傳統式電壓調整電路中? (A)振盪器 (B)誤差檢知器 (C)取樣與控制電路 (D)電流限制電路 。
94. 有關下圖 555 振盪電路的敘述,下列何者錯誤? (A)當電容器被充電到達4V 時,Vo 由 Hi 轉 Low (B)Vo 方波的振盪頻率(f)為
(C)若要使 Vo 輸出波形的工作週期趨近 50%,選用 R
A
等於 R
B
即可 (D)電容器C1 的值對輸出方波的頻率沒有影響 。
95. 下列四個振盪器中,哪一個電路不屬於 LC 振盪電路?
(A)克拉普振盪器(B)雙 T 型振盪器 (C)阿姆斯壯振盪器 (D)哈特萊振盪器 。
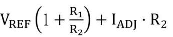
96. 已知 LM317 三端子電壓調整 IC 的參考電壓 V
REF
為+1.25V,I
ADJ
=50μA。有關下列電路的敘述,何者正確?
(A)其最大的電壓輸出為 35V (B)其最低的電壓輸出為 1.25V (C)LM 代表 IC 為 RCA 的產品 (D)輸出電壓的公式為
。
97. 下列哪一個因素不會影響全波整流後之漣波有效值? (A)負載電阻 (B)濾波電容器 (C)變壓器 (D)電源頻率 。
98. 正弦波電源經全波整流後電壓峰值 V
p
以電容器 C 濾波,接到負載 R
L
,其輸出電壓的平均值(即直流)V
DC
可用下列哪一個式子來表示? (A)
(B)
(C)
(D)
。
99. 在運算放大器零位檢知電路中,輸入信號在下列哪一種情況下,會使輸出電壓轉態? (A)正值時 (B)負值時 (C)零交叉點時 (D)改變率為零時 。
100. 下列哪一項不是相鎖迴路的一部分? (A)參考信號頻率 (B)相位檢測器 (C)高通濾波器 (D)VCO 電路 。
申論題 (0)
相關試卷
114年 - 11700 數位電子 甲級 工作項目 10:嵌入式系統 1-57(2025/12/12 更新)#134868
114年 · #134868
114年 - 11700 數位電子 甲級 工作項目 09:網路技術與應用 51-72(2025/12/12 更新)#134867
114年 · #134867
114年 - 11700 數位電子 甲級 工作項目 09:網路技術與應用 1-50(2025/12/12 更新)#134866
114年 · #134866
114年 - 11700 數位電子 甲級 工作項目 08:程式語言 51-89(2025/12/12 更新)#134865
114年 · #134865
114年 - 11700 數位電子 甲級 工作項目 08:程式語言 1-50(2025/12/12 更新)#134864
114年 · #134864
114年 - 11700 數位電子 甲級 工作項目 07:電腦與周邊設備 1-48(2025/12/12 更新)#134863
114年 · #134863
114年 - 11700 數位電子 甲級 工作項目 06:數位系統設計 51-103(2025/12/12 更新)#134862
114年 · #134862
114年 - 11700 數位電子 甲級 工作項目 06:數位系統設計 1-50(2025/12/12 更新)#134861
114年 · #134861
114年 - 11700 數位電子 甲級 工作項目 05:電子學與電子電路 101-145(2025/12/12 更新)#134860
114年 · #134860
114年 - 11700 數位電子 甲級 工作項目 05:電子學與電子電路 1-50(2025/12/12 更新)#134858
114年 · #134858