阿摩線上測驗
登入
首頁
>
技檢◆化工-丙級
> 114年 - 12300 化工 丙級 工作項目 01:普通化學 201-250(2025/12/17 更新)#135091
114年 - 12300 化工 丙級 工作項目 01:普通化學 201-250(2025/12/17 更新)#135091
科目:
技檢◆化工-丙級 |
年份:
114年 |
選擇題數:
50 |
申論題數:
0
試卷資訊
所屬科目:
技檢◆化工-丙級
選擇題 (50)
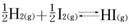
201. 下列何項操作可使
-43.2kcal 的平衡系遭受破壞而向右移動? (A)加入催化劑 (B)加大系統體積 (C)升高溫度 (D)移除 NO
2
(g )。
202.
ΔH=-22.0kcal,欲生成氨之有利情況為 (A)高溫高壓 (B)高溫低壓 (C)低溫高壓 (D)低溫低壓 。
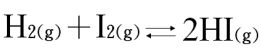
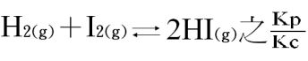
203. 在 t℃時
之平衡常數為 64,在同溫下,
的平衡常數為多少? (A)4 (B)8 (C)16 (D)32 。
204. 2SO
2(g )
+O
2(g )
2SO
3(g )
+45kcal 的平衡系中,加入少量 He(g)而溫度及系統體積仍相同,則下列何項之敘述正確 (A)平衡不受影響 (B)正、逆反應的反應速率均增加 (C)SO
2(g )
之平衡濃度增加 (D)SO
3(g )
之平衡濃度增加 。
205. 在 727℃時
值為多少? (A)1.0 (B)1.5 (C)2.4 (D)3.2 。
206. 2A+B
⇌
C+D,K 值為 7。若同溫時在 1L 容器中分別加入 A:1mole,B:2mole,C:2mole,D:1mole,則反應之方向將如何? (A)維持不變 (B)向右 (C)向左 (D)先右後左 。
207. N
2
O
4
(g)⇌ 2NO
2(g )
在 55℃平衡總壓力為 1atm 下之K=0.87,如在同溫時加入 0.2atm 之 Ar
(g )
並使總壓力仍維持 1atm,則下列何項之敘述正確? (A)平衡向右移動 (B)平衡向左移動 (C)平衡不受影響 (D)N
2
O
4(g )
的量不變 。
208. 化學反應之平衡常數(K),會受下列何種因素之影響而發生改變? (A)催化劑 (B)濃度 (C)壓力 (D)溫度 。
209. 氣相物系反應之平衡常數(K),會受下列何種因素之影響而發生改變? (A)體積變化 (B)壓力變化 (C)濃度變化 (D)溫度變化 。
210. 下列各選項中,何者是氧化劑的特性? (A)常放出電子 (B)其自身的氧化數會增加 (C)在氧化還原反應中常被還原 (D)一定含有氧 。
211. 下列關於氧化電位(E°值)的敘述,何者正確? (A)E°值越大是越強的氧化劑(B)可由 E°值推測反應之快慢 (C)E°值大的較易獲得電子 (D)ΔE°>0 時,代表該反應可自然發生 。
212. 在下列含硫的化合物中,何者之硫的氧化數最低? (A)Na
2
S
2
O
3
(B)H
2
S (C)H
2
SO
4
(D)H
2
S
2
O
7
。
213. 關於鋅銅電池的下列敘述中,何者錯誤? (A)鋅為負極 (B)放電過程,電壓會逐漸降低 (C)銅為陽極 (D)達平衡時,電壓會等於零 。
214. 關於電池的下列敘述中,何者正確? (A)半電池反應可單獨發生,其 E°值也可單獨測得 (B)在外線路,電子是由陽極流向陰極 (C)電池之電壓與溶液的種類及濃度無關 (D)鹽橋中的鹽類溶液,其陽離子有跑向陽極的趨勢 。
215. 若 X
(s )
→X
2+
(aq )
+2e- E°=0.92; X
2 +
(aq )
→X
3+
(aq)
+e- E°=0.41,則 X
(s )
→X
3+
(aq )
+3e-E°=? (A)0.44 (B)0.51 (C)0.75 (D)1.33 。
216. 在
a
MnO
4
-
+H
2
S+
b
H
+
→Mn2+ +
c
S+H
2
O,則 a+b+c=? (A)15 (B)13 (C)9(D)8 。
217. 若 E°(Na-Na
+
)=2.71V;E°(Cl- -Cl
2
)=-1.36V,則在電解熔融 NaCl 時,下列之敘述何者正確? (A)電解時陰極生成 Cl
2(g )
(B)電解時陽極生成 NaOH
(aq)
(C)電解要進行需外加 4.07V 電壓 (D)Cl
-
(aq )
在陰極被氧化 。
218. 若 E°(Cu-Cu+ )=aV;E°(Cu+ -Cu
2 +
)=bV,則 Cu
(s )
→Cu2+
(aq )
+2e
-
的 E°值為多少? (A)
(B)a-b (C)a+b (D)
。
219. 下列各選項中,何者不會影響電池之電壓? (A)電極大小 (B)濃度 (C)壓力 (D)溫度 。
220. 關於鹵素性質的敘述,下列何者正確? (A)鹵素之顏色會隨分子量的增加而加深 (B)在自然界碘可游離而出 (C)隨原子序的增加,沸點、熔點會遞減 (D)隨原子序的增加,游離能漸增 。
221. 關於鹵素性質的敘述,下列何者錯誤? (A)游離能會隨原子序的增加而遞減,致化性漸不活潑 (B)原子的價電子數均為七個,易形成 X- 之化合態 (C)分子的氧化力隨原子序的增加而增加 (D)離子半徑約等於凡得瓦半徑 。
222. 關於碘之性質的敘述,下列何者錯誤? (A)因具揮發性,故可用昇華法精製(B)衣物如沾到碘液,可用 Na
2
S
2
O
3
溶液除去 (C)I
2(s )
+I
-
(aq )
可形成 I
3
-
(aq )
而呈褐色 (D)氧化力比 Br
2
,Cl
2
強 。
223. 關於酸的強弱次序,下列何者錯誤? (A)HClO
4
>HClO
3
>HClO2(B)HClO
3
>HBrO
3
>HIO
3
(C)HF>HCl>HBr>HI (D)HClO>HBrO>HIO 。
224. 下列的 Cl
2
含氧酸中,何者之酸性最弱? (A)HClO
4
(B)HClO
3
(C)HClO
2
(D)HClO 。
225. 何種鹵素不能形成鹵氧酸? (A)F
2
(B)Br
2
(C)I
2
(D)Cl
2
。
226. 下列何者會與澱粉液作用而發生變色? (A)I
-
(B)IO
-
(C)IO
3
(D)I
2
。
227. I
2(s )
在下列何種溶液中之溶解度最大? (A)1.0MKI
(aq )
(B)CCl
4
(C)C
6
H
6
(D)C
2
H
5
OH 。
228. 下列關於鹵素性質和其原子序增加的關係性,何者正確? (A)游離能增大(B)氧化力增強 (C)鍵能增強 (D)氫化物的酸性增大 。
229. 下列各選項中,何者錯誤? (A)共價半徑:Cl<Br<I (B)氧化力:Cl
2
>Br
2
>I
2
(C)酸性:HCl>HBr>HI (D)氫鍵強度:HF>HCl>HBr 。
230. 下列何者不存在? (A)NaH
2
PO
4
(B)Na
3
PO
3
(C)Na
3
PO
4
(D)NaH
2
PO
2
。
231. 濃度相同的下列各無機酸,何者之酸性最強? (A)Si(OH)
4
(B)ClO
3
(OH) (C)SO
2
(OH)
2
(D)PO(OH)
3
。
232. 下列各氫氧化物中,何者是兩性的? (A)NaOH (B)Mg(OH)
2
(C)Al(OH)
3
(D)Si(OH)
4
。
233. 下列有關磷之性質的各項敘述,何者錯誤? (A)黃磷燃點低,易發生自燃(B)白磷可溶於 CS
2
中 (C)須將黃磷存於石油中 (D)紅磷難溶於 H
2
O 及 CS
2
中 。
234. 鈉常被用為核反應器之冷卻劑,係因其 (A)易導熱 (B)化性活潑 (C)密度小、質軟 (D)沸點、熔點差距大 。
235. 鹼金屬中,何者之還原電位最低?何者之光電效應最好? (A)Li;Cs (B)K;Rb (C)K;Cs (D)Fr;Na 。
236. 鹼土族元素中,何者的硫酸鹽及鉻酸鹽之溶解度最小? (A)Ca (B)Mg (C)Ba(D)Sr 。
237. 第四列過渡元素中,何者具有最高的氧化數? (A)Cr (B)Mn (C)Co (D)V 。
238. 1M 的下列各離子溶液,何者是為無色? (A)FeSCN
2 +
(B)CoCl
4
- 2
(C)Cu(NH
3
)
4
2 +
(D)Ag(NH
3
)
2
+
。
239. 錯離子常見的配位數是 (A)2 (B)4 (C)6 (D)8 。
240. 下列關於 Fe(C
2
O
4
)
3
-3
的敘述,何者錯誤? (A)為八面體結構 (B)C
2
O
4
2-
是雙芽團,是配位子 (C)Fe 是以 d
2
SP
3
軌域鍵結的 (D)Fe
3+
的配位數是 3 。
241. 下列各種離子中,何者具有顏色? (A)Fe
3 +
(B)Ca
2+
(C)Cu
+
(D)Zn
2 +
。
242. 下列各化合物中,何者不屬於錯鹽? (A)Co(NH
3
)
6
C
l3
(B)Cu(NH
3
)
4
(OH)
2
(C)K
4
Fe(CN)
6
.3H
2
O (D)KAl(SO
4
)
2
.12H
2
O 。
243. 關於放射線性質的敘述,下列何者錯誤? (A)穿透力:α<β<γ (B)游離作用:α>β>γ (C)速度:γ<β<α (D)感光作用:γ>β>α 。
244. 有一放射性元素之半衰期為 5 年,則 25 年後將剩下原本的多少倍? (A)
(B)
(C)
(D)
。
245. 下列關於放射性的敘述,何者錯誤? (A)放射性蛻變是不可逆反應,且放射速率不受溫度之影響 (B)放射性物質之半衰期愈長,它的放射強度就愈弱(C)定量的放射性元素,其放射強度在化合態時比游離態時強 (D)放射性物質經放射後,即變成他種物質 。
246. 加熱異氰酸銨(NH
4
NCO),可得到何種化合物? (A)N
2
(B)NH
3
(C)CO(NH
2
)
2
(D)CO 。
247. 由有機化合物的成分定量分析的結果,可得到該有機化合物的 (A)實驗式(B)分子式 (C)結構式 (D)示性式 。
248. 下列各化合物中,何者無順-反異構物? (A)CHBr=CH
2
(B)CHBr=CHCH
3
(C)CHCl=CHBr (D)CHCl=CHCl 。
249. CH
3
CH
2
CH
2
OH 與 CH
3
CHOHCH
3
兩者之間,是屬於何種異構物? (A)位置異構物 (B)碳鏈異構物 (C)幾何異構物 (D)官能基異構物 。
250. 下列各選項中,何者是屬於碳鏈異構物? (A)CH
3
CHClCH
3
與CH
3
CH
2
CH
2
Cl (B)CH
3
CH
2
CH
2
CH
3
與 CH
3
CHCH
3
CH
3
(C)CH
3
CH
2
CH
2
OH 與CH
3
CHOHCH
3
(D)CH
3
OCH
3
與 C
2
H
5
OH 。
申論題 (0)
相關試卷
114年 - 12300 化工 丙級 工作項目 08:化工廠管理 1-27(2025/12/17 更新)#135106
114年 · #135106
114年 - 12300 化工 丙級 工作項目 06:工業儀器 1-61(2025/12/17 更新)#135105
114年 · #135105
114年 - 12300 化工 丙級 工作項目 05:單元操作 201-235(2025/12/17 更新)#135104
114年 · #135104
114年 - 12300 化工 丙級 工作項目 05:單元操作 151-200(2025/12/17 更新)#135103
114年 · #135103
114年 - 12300 化工 丙級 工作項目 05:單元操作 101-150(2025/12/17 更新)#135102
114年 · #135102
114年 - 12300 化工 丙級 工作項目 05:單元操作 51-100(2025/12/17 更新)#135101
114年 · #135101
114年 - 12300 化工 丙級 工作項目 05:單元操作 1-50(2025/12/17 更新)#135100
114年 · #135100
114年 - 12300 化工 丙級 工作項目 04:質能均衡 1-38(2025/12/17 更新)#135099
114年 · #135099
114年 - 12300 化工 丙級 工作項目 03:工業化學 101-129(2025/12/17 更新)#135098
114年 · #135098
114年 - 12300 化工 丙級 工作項目 03:工業化學 51-100(2025/12/17 更新)#135097
114年 · #135097