所屬科目:教甄◆數學
1.設a,b,c∈ℝ,且abc=1,ab+bc+ca-3abc=0,a≠1,b≠1,c≠1,求之值。
2.求10115的百萬位的數字。
3.求曲線y=x³-4x和其上一點P(1,-3)處之切線所圍成之區域面積。
4.雙曲線Γ之兩焦點為F₁(0,0),F₂(2,2),已知為雙曲線Γ上一點,求雙曲線Γ的方程式。
5.數列<aₙ>為等差數列,aₙ=log(bₙ),n=1,2,3,...。已知a₆=27,a₁₀=47,求b₁b₂…b₁₀之值。
6.求函數f(x)=(x-2)³+3(x-2)²-2(x-2)-6在x=-2的一次近似。
7.曲線y=x²-x+和直線y=a,a≠1相交於P,Q兩點,設P(x₁,a),Q(x₂,a),x₁>x₂,求log_a|x₁²-|-log_a|x₁+1/2|+2log_a|x₂-|之值。
8.投擲均勻的骰子四次,出現的點數依次為n₁,n₂,n₃,n₄,在坐標平面上若A(n₁,n₂),B(n₃,n₄),求A≠B但向量和直線y=x有共同點的機率。
9.在等腰直角三角形ABC中,=4,點P是上異於A、B的一點,光線從P點出發,經反射後又回到P點。若光線QR經過△ABC的重心,則=?(化成最簡分數)
10.a,b,c∈ℝ,若,求a+2b+3c之最大值。
11.設A(1,-1,2),B(1,5,-4),於平面E:x+y+z-5=0上求一點P,使為最大,則P之坐標為?
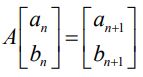
12.設i=√(-1),對於任意正整數n恆有(1-i)ⁿ=aₙ+ibₙ,其中aₙ,bₙ為實數。已知二階方陣A使得,且在坐標平面上,P,Q,R三點經方陣A變換後所對之點分別為P'(1,2),Q'(4,6),R'(3,8),則△PQR的面積為?
13.袋中有編號1,2,…,=1號的球各1顆共n顆,自袋中任取2球,以隨機變數X表示取出2球編號的差之絕對值。若X的期望值小於12,則n的最大值為?
14.已知橢圓:+y²=1(m>1)和雙曲線:=1(n>0)有相同的兩個焦點F₁,F₂,點P是它們的一個交點,則tan∠F₁PF₂=?
15.已知函數f(x)=x³+3ax²+3bx+c在x=2處有極值,圖形在x=1處的切線與直線6x+2y+5=0平行,則f(x)的極大值與極小值的差為?
16.已知不等式log₂(|2x-1|+|5x-2|)≤3的解可以寫成a≤x≤b,求2a-b=?
1.若為兩個非零向量,證明:在上的正射影為。
2.拋物線Γ:(x-1)²=8(y+1)及直線L:x-y=k,若拋物線Γ上恆可求出相異兩點P,Q,使得P,Q兩點對直線L成對稱點時,求k的範圍。