阿摩線上測驗
登入
首頁
>
轉學考-管理科學
> 88年 - 88 淡江大學 轉學考 管理科學#56347
88年 - 88 淡江大學 轉學考 管理科學#56347
科目:
轉學考-管理科學 |
年份:
88年 |
選擇題數:
0 |
申論題數:
13
試卷資訊
所屬科目:
轉學考-管理科學
選擇題 (0)
申論題 (13)
(a)請問王小姐對風險的態度為 risk averse, risk lover, or risk neutral ? (5%)
(b)請替王小姐緣製決策樹(decision tree)。(5%)
(c)王小姐需採何策略方能得到最大期望效用。(15%)
(a)請問此 game 的 payoff table 為何?(5%)
(b)請問此game 是否有一鞍點(saddle point)。(5%)
(c)請決定此一遊戲的值(value of the game) ’ 與 Player I 與 Player II 的最佳混合策略(optimal mixed strategy)。 (15%)
(a)請建立此問題的轉換機率矩陣(matrix of transition probabilities). (5%)
(b)假設王小姐知道本週一該老爺車可發動與發不動的機率分別為0. 6與0.4 ’請問本週二該老爺車可發動與發不動的 機率分別為何?(5%)
(c)如果轉換機率矩陣不變’請問長久下來’該老爺車可發動與發不動的機率分別為何?(1%)
(a)在執行 Simplex Method 時,何謂退化(degeneracy) ? (5%)
(b)在執行Simplex Method時,如何在最終表格上判斷該L, P■有無窮多組解?(5%)
(c)在執行Simplex Method時,如何判斷該L. P.為無界?(5%)
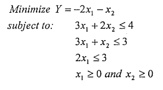
【已刪除】(d)解以下LR問題。(10%)