所屬科目:研究所、轉學考(插大)-微積分
(1). Let f(x) = .Which of the following is true? Ans.__甲__
a. f(1)>0 b.f(5)<0 c.f(2)>f(4) d.f(2)<f(4)
(2.)Find the Iimit Ans.__乙__
(3). Evaluate the integral Ans.__丙__
(4). Evaiuate the integral dydx. Ans.__丁__
(5). Find the area of the top half gt the region inside the cardioid r=1 + cosθ and outside the circle r = cosθ. Ans.__ 戊__
(1). Let f bea C1function on R. Verify that z = satisfies the equation =0.
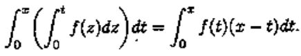
(2). Let f be a coutinuous real-valued function defned on R.Using integration by parts, prove
(3). Let be a sequence with nonnegative termas. Suppose that converges. 1 Does converge? Prove or disprove it.
(4). Find ∫Dy2dA, where D is the region bounded by the lines x - 2y = 2, x -2y = 5, 2x + 3y = 1 and 2x + 3y =3.
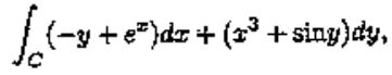
(5). Evaluate the line integralwhere the curve C = {(x,y)|x2+y2 = 1} is traversed counterclockwise.