所屬科目:高中指考◆化學
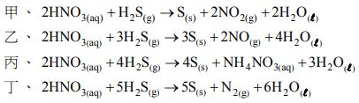
4. 在不同濃度的硝酸溶液中通入硫化氫,會產生不同的反應如下: 上列氧化還原反應,若只針對硝酸,氮的氧化數有改變的,將其單一氮原子的氧化數改變 的差距,由大至小依序排列,則下列哪一選項是正確的? (4 分 ) (A) 甲乙丙丁 (B) 乙丙丁甲 (C) 丙丁乙甲 (D) 丁丙乙甲 (E) 丁丙甲乙
5. 原子理論的發展故事是一連串早期的實驗,用來幫助『看無法看到的物,瞭解不易瞭解的事 』。有關這些故事中的科學家與其重大科學發現或理論,下列哪個選項的組合是錯誤的 ? (3 分 )(A)(B)(C)(D)(E)
6. 在 1 公升的真空容器中,溫度保持100℃,逐漸注入1克的水,並測量其內部的壓力,則下列示意圖,哪一個最能表示容器內部水的質量 (w)與壓力 (P)的關係? (3 分 )(A)(B)(C)(D)(E)
10. 某水溶液含有甲、乙、丙三種金屬離子。若進行圖 1 所示的實驗操作,即可分離這些離子。試問該水 溶液中的甲、乙、丙各為何種離子?(從下面的選 項中擇一正確的組合)(3 分) (A)(B)(C)(D)(E)
12. 下列哪一個示意圖是基態鉻原子的電子組態? (3 分 ) (A) (B) (C) (D) (E)
13. 含 A、 B、 X 三元素的某化合物之結構如 圖 2,則此化合物之 分子式為下列哪一個? (3 分 ) (A) ABX (B) AB2X4 (C) AB2X2 (D) ABX3 (E) ABX4
14. 圖中點 a 的壓力為 Pa, 點 b 的壓力為 Pb。若壓力由 Pa 逐漸增大至 Pb,則下列哪 一 個 圖最能適切地表示壓 力(橫 軸)與體積 (縱軸 )的變化關係? (4 分 )(A)(B)(C)(D)(E)
15. 已知冰的熔解熱為 6.01 kJ/mol、水 的 汽 化 熱 為 40.7 kJ/mol。若 溫 度 T 由 圖 3 的 點 Y 逐漸增 溫到點 X,則下列哪一個圖最能適切地表示所供給的累積熱量 Q(橫軸)和溫度變化(縱 軸)的關係? (3 分 )(A)(B)(C)(D)(E)
16. 若 以 0.01 M 的鹽酸滴定 NaQ 的水溶液 50.0 mL 時,溶液的 pH 值變化如 圖 4。求 HQ 的 Ka 值應接 近於下列的哪一個選項? (NaQ 是 HQ 的共軛鹼, ) (4 分 ) (A) 1✖10-2 M (B)1✖10-4 M (C)1✖10-5 M (D) 1✖10-8M (E)1✖10-10M
17. 試問為什麼要使用可能造成環境污染的漂白水,而不選用較環保的雙氧水或直接用氧氣來 消毒?已知次氯酸根、雙氧水及氧氣的還原電位大小如下: (4 分 )(A) 漂白水的氧化力最強 (B) 雙氧水只能在鹼性環境中反應 (C) 空氣含氧量太低,不適宜消毒 (D) 雙氧水和氧氣因活化能過高,無法在室溫進行消毒 (E) 漂白水雖會造成環境污染,但對人體無害
18. 已知坊間所賣的光觸媒,其主要成分是奈米級的二氧化鈦,而其接受光(吸收光)之波長 至少需低於 400 nm。吸收光能後的二氧化鈦具有相當強之氧化力,可以直接將吸附在物質表面之污染物直接氧化,使其分解,或者將吸附於物質表面之水分子氧化為氫氧根㉂由基 ( • OH+ H+ e-→ H2O E° = 2.79 V)進而分解污染物。試問下列敘述何者正確? (4 分 ) (A) • OH 為強還原劑可以分解污染物 (B) 奈米級的顆粒大小,是比本土的蓬萊米略大 (C) 二氧化鈦的基態和激發態之能階差約為 3 .2 eV (D) 光觸媒處理過的場所,在黑暗中仍具有消毒效果 (E) 氫氧根自由基中的氧原子之電子恰好是八隅體組態
24. 某一氧化劑 X,雖不能氧化甲醇、乙醇、甲醛或乙醛,但能氧化下列有機化合物,以得醛或酸: 其中 R1 、R2 、R3 與 R4 可能是氫、烷基或其他官能基。若以該氧化劑 X,氧化 2, 3, 4戊三醇: 則可能獲得下列哪些產物? (4 分 ) (A) CH3COOH (B) CO2 (C) HCOOH (D) CH3CHO (E) CH2O