所屬科目:研究所、轉學考(插大)-微積分
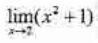
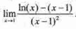
1. Find the Taylor series of f(x) = ln(x) about x=1 and its interval of convergence. Also, use it to conjecture the value of lim
2. Symbolically find δ in terms of ε for =5.
(a) Find the arc length for 0 ≤ t ≤ 2.
(b) Find the curvature at t=1.
(a) Express the Rieman sum for the given function f and region R with n=3, evaluating at midpoint.
(b) Compute (x,y)dA.
5. Use Jacobian between Cartesian coordinates and polar coordinates to derive the evaluation formula for polar coordinates: (x, y)dxdy = (rcosθ,rsinθ)rdrdθ. Use the formula to evaluate 2xdydx by converting to polar coordinates.
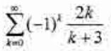
(a) (hint: -Term Test)
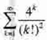
(b) (hint: Ratio Test)
(a)
(b) ∫ x csc(x²)-cot(x²) dx
(c) ∫ x² sin(2x)dx
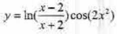
(d)
(b) sin(xy)+x²=x-y
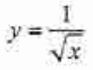
(c)
(d) y=√(lnx+1)