所屬科目:研究所、轉學考(插大)-微積分
1. Find the limit
2. Find f'(-1) if f(x)=e g(x) and g(x)=tan-1(x2)+dt.
3. Find the length of the curve x = In(sect + tant) - sint, y = cost, 0≤t≤π/3.
5. Find the derivative of f(x,y,x) = xyz in the direction of the velocity vector of the helix r(t) = (cos3t)i + (sin 3t)j + 3tk at t = π/3.
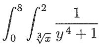
6. Evaluate the integraldydx.
7. Evaluate the integral dA, where R is the region inside the upper semicircle of radius 2 centered at the origin, but outside the circle x2 + (y - 1)2 = 1.
8. Eraluate the integal
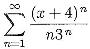
(a) (6 分) Determine whether the series converges absolutely or converges conditionally or diverges and give reasons for your answer.
(b) (6 分) Find all values of x for whichconverges and give reasons for your answer.
(b) (4 分) Find the partial derivative at (2,y) if x3 +y3≠0.
(c) (4分) Use the definition of the partial derivative to find af at (x, y) = (0,0).
3. Find the absolute maximum and minimum values of f(x,y) = x2 + 3y2 + 2y on the unit disk x2 + y2 ≤1.