阿摩線上測驗
登入
首頁
>
研究所、轉學考(插大)-微積分
>
112年 - 112 臺灣聯合大學系統(清華、陽交、中央 聯招)學士班轉學生考試_A3、A4、A6理工組:微積分#117689
> 申論題
題組內容
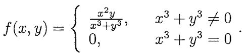
2. Let
(c) (4分) Use the definition of the partial derivative to find
af at (x, y) = (0,0).
相關申論題
1. Find the limit
#502896
2. Find f'(-1) if f(x)=e g(x) and g(x)=tan-1(x2)+dt.
#502897
3. Find the length of the curve x = In(sect + tant) - sint, y = cost, 0≤t≤π/3.
#502898
4.Consider the region bounded by the graphs of y = In x, y = 0, and x = e. Find the volume of the solid formed by revolving the region about the x-axis.
#502899
5. Find the derivative of f(x,y,x) = xyz in the direction of the velocity vector of the helix r(t) = (cos3t)i + (sin 3t)j + 3tk at t = π/3.
#502900
6. Evaluate the integraldydx.
#502901
7. Evaluate the integral dA, where R is the region inside the upper semicircle of radius 2 centered at the origin, but outside the circle x2 + (y - 1)2 = 1.
#502902
8. Eraluate the integal
#502903
(a) (6 分) Determine whether the series converges absolutely or converges conditionally or diverges and give reasons for your answer.
#502904
(b) (6 分) Find all values of x for whichconverges and give reasons for your answer.
#502905
相關試卷
114年 - 114 臺灣綜合大學系統_學士班轉學生考試試題:微積分A#137897
114年 · #137897
114年 - 114 臺灣綜合大學系統_學士班轉學生考試試題:微積分B#137819
114年 · #137819
114年 - 114 台灣聯合大學系統_學士班轉學生考試試題:微積分#137762
114年 · #137762
114年 - 114 台灣聯合大學系統_學士班轉學生考試試題:微積分#137761
114年 · #137761
114年 - 114 國立臺灣大學_轉學生招生考試_物理學系/土木工程學系/生物環境系統工程學系/生物機電工程學系:微積分(B)#137745
114年 · #137745
114年 - 114 國立臺灣大學_轉學生招生考試_數學系:微積分(A)#137744
114年 · #137744
113年 - 113 國立嘉義大學_轉學生招生考試試題_(全校):微積分#122986
113年 · #122986
112年 - 112 國立臺灣大學_碩士班招生考試題:微積分(D)#130254
112年 · #130254
112年 - 112 國立陽明交通大學_碩士班入學招生試題_統計學研究所﹕微積分與線性代數#130252
112年 · #130252
112年 - 112 國立嘉義大學_轉學生招生考試試題:微積分#123297
112年 · #123297