阿摩線上測驗
登入
首頁
>
國營事業◆流體機械
> 94年 - 094年第一次專門職業及技術人員律師會計師建築師技師社會工作師醫事人員營養師獸醫人員中醫師土地登記專業代理人檢覈筆試暨醫師牙醫師檢覈筆試分階段機械工程技師#39134
94年 - 094年第一次專門職業及技術人員律師會計師建築師技師社會工作師醫事人員營養師獸醫人員中醫師土地登記專業代理人檢覈筆試暨醫師牙醫師檢覈筆試分階段機械工程技師#39134
科目:
國營事業◆流體機械 |
年份:
94年 |
選擇題數:
0 |
申論題數:
4
試卷資訊
所屬科目:
國營事業◆流體機械
選擇題 (0)
申論題 (4)
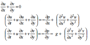
【已刪除】一、試無因次化下列不可壓縮牛頓流體之二維統制方程式,並討論所出現之無因次參數 的物理意義。(30 分)
【已刪除】二、下圖 (a) 與 (b) 中之轉子(Rotor)以一定之角速率ω=100 rad/s 旋轉,流體在轉 子入口與出口之絕對速度分別為 V
1
= 12 m/s 與 V
2
= 25 m/s,試判斷此轉子為一 泵(Pump)或渦輪機(Turbine)?請說明你的判斷依據。(30 分)
【已刪除】三、請在下圖中位置(2)、(3)、(4)、(5)及(6)處繪上適當的速度剖面圖,並 在(a)與(b)處填上適當的名稱以描述此二特徵區域。(20 分)
【已刪除】四、下圖中之孔口板(Orifice)截面積為 Ao,其速度係數(Velocity Coefficient)Cv = 0.8 ,A
p
=2Ao,孔口板之收縮係數(Contraction Coefficient)為 1。假設管內的其他損失 可予忽略,請計算出口速度 Vp。(20 分)
相關試卷
103年 - 103 專技高考_機械工程技師:流體力學與流體機械#24802
103年 · #24802
103年 - 103 專技高考_冷凍空調工程技師:流體力學與流體機械#24800
103年 · #24800
102年 - 102 專技高考_機械工程技師:流體力學與流體機械#25463
102年 · #25463
102年 - 102 專技高考_冷凍空調工程技師:流體力學與流體機械#25461
102年 · #25461
101年 - 101 專技高考_機械工程技師:流體力學與流體機械#26327
101年 · #26327
101年 - 101 專技高考_冷凍空調工程技師:流體力學與流體機械#26210
101年 · #26210
100年 - 100 專技高考_機械工程技師:流體力學與流體機械#26918
100年 · #26918
100年 - 100 專技高考_冷凍空調工程技師:流體力學與流體機械#26842
100年 · #26842
94年 - 094年專門職業及技術人員高等建築師、技師暨普通不動產經紀人、地政士、記帳士機械工程技師#38547
94年 · #38547
94年 - 94-2 專技檢覈_機械工程技師:流體力學及流體機械#38546
94年 · #38546