所屬科目:研究所、轉學考(插大)-微積分
a.
b.
a. 請應用積分求出函數。
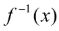
b. 求之值
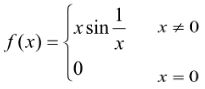
a. what is the value of when x=3?
b. what is the value of when x=3?
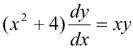
6. Find the general solution of .
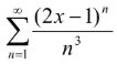
7. Find the volume of solid formed by revolving the region bounded by f(x)=2-x2 , and g(x)=1 about the line y=1 .
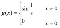
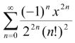
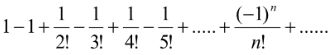
8. Find
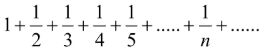
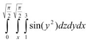
9. Evaluate .