阿摩線上測驗
登入
首頁
>
研究所、轉學考(插大)-微積分
>
95年 - 95 國立屏東教育大學_學士班轉學招生考試試題:微積分#124182
> 申論題
題組內容
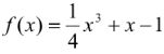
5. Evaluating the derivative of an inverse function: Let
.
a. what is the value of
when x=3?
相關申論題
a.
#527802
b.
#527803
a.
#527804
b.
#527805
a. 請應用積分求出函數。
#527806
b. 求之值
#527807
a.
#527808
b.
#527809
b. what is the value of when x=3?
#527811
6. Find the general solution of .
#527812
相關試卷
114年 - 114 臺灣綜合大學系統_學士班轉學生考試試題:微積分A#137897
114年 · #137897
114年 - 114 臺灣綜合大學系統_學士班轉學生考試試題:微積分B#137819
114年 · #137819
114年 - 114 台灣聯合大學系統_學士班轉學生考試試題:微積分#137762
114年 · #137762
114年 - 114 台灣聯合大學系統_學士班轉學生考試試題:微積分#137761
114年 · #137761
114年 - 114 國立臺灣大學_轉學生招生考試_物理學系/土木工程學系/生物環境系統工程學系/生物機電工程學系:微積分(B)#137745
114年 · #137745
114年 - 114 國立臺灣大學_轉學生招生考試_數學系:微積分(A)#137744
114年 · #137744
113年 - 113 國立嘉義大學_轉學生招生考試試題_(全校):微積分#122986
113年 · #122986
112年 - 112 國立臺灣大學_碩士班招生考試題:微積分(D)#130254
112年 · #130254
112年 - 112 國立陽明交通大學_碩士班入學招生試題_統計學研究所﹕微積分與線性代數#130252
112年 · #130252
112年 - 112 國立嘉義大學_轉學生招生考試試題:微積分#123297
112年 · #123297