阿摩線上測驗
登入
首頁
>
工程數學(應用數學, 線性代數、微分方程、複變函數與機率)
> 95年 - 95 高等考試_三級_電力工程、電子工程、醫學工程:工程數學#36564
95年 - 95 高等考試_三級_電力工程、電子工程、醫學工程:工程數學#36564
科目:
工程數學(應用數學, 線性代數、微分方程、複變函數與機率) |
年份:
95年 |
選擇題數:
20 |
申論題數:
9
試卷資訊
所屬科目:
工程數學(應用數學, 線性代數、微分方程、複變函數與機率)
選擇題 (20)
i = √−1,下列那一級數(series)收斂?
2 有一個平面包含
兩個向量,求出向量
與該平面法線的夾角應為何? (A) θ =cos
−1
0 (B) θ =cos
−1
1 (C) cos
−1
θ =4/ √30(D) θ =cos
−1
1/√30
3 下列何組向量可成為 R
2
空間的單範正交基底(orthonormal basis)? (A){(1/ √2, 1/ √2)
T
,(1, −1)
T
} (B){ (−1/ 2, √3 / 2)
T
,( √3 / 2, −1/ 2)
T
} (C){ (1, 1)
T
,(1, −1)
T
} (D){ (1/ √2, −1/ √2)
T
,(1/ √2, 1/ v2)
T
}
4 假設
,求
方向之單位向量為何?
5 下列敘述何者正確? (A)如果 A 是赫米特矩陣(Hermitian matrix),並且 A
2
= I,I 是單位矩陣,則 A 也是么正矩陣(unitary matrix) (B)赫米特矩陣的行列式值(determinant)不一定是實數(real) (C)令
表示矩陣M 之所有特徵值(eigenvalue)的總和。現給予A、B 兩矩陣,則
(D)如果一個矩陣有重複的(repeated)特徵值,則此矩陣無法對角化(diagonalizable)
6 試求微分方程式 x
2
dy − 2ydx= −( y
2
+2x)dy 之通解,其中 c 為任意實數。 (A) y = 2cos
− 1
(x / y) + c (B) y =2cot
−1
( x/ y) + c (C) y = 2sec
−1
(x /y ) + c (D) y =2 tan
−1
(x / y) + c
7 計算
之值,其中 C 表示一個正方形,其邊線通過點(±2, 0)及(0, ±2),逆時鐘方向(counterclockwise)。 (A)π (B) 0 (C) i2π (D) iπ
8 若一系統之轉移函數為G( s) = 1/[s
2
+ 3s +2 ] 且輸入信號為 x(t) = sin 2t ,則輸出信號 y(t)之拉氏轉換 Y(s)為: (A) s/[(s +1 )( s +2 )(s
2
+2 )] (B)2 /[(s+1 )(s +2 )(s
2
+2 )] (C) s/[(s+1)(s +2 )(s
2
+4 )] (D)2 /[( s +1)(s +2 )(s
2
+4 )]
9 下列何者與 L{f (t)u(t − a) } 相等,其中 L{•}代表拉氏轉換(Laplace Transform)? (A)e
−as
L{ af (t)} (B)e
−as
L{df (t) / dt} (C)e
−as
L{af (t − a)} (D)e
−as
L{f (t+ a)}
10 若微分方程式 y′′ − 4y′ + 4y = 25sin x 且 y(0) = 3、 y′(0) = 2,試求其解? (A) y= e
2x
e +2xe
2x
+ cosx (B) y= 3e
2x
− 5xe
2x
+ sin x (C) y= 2e
2 x
+2xe
2x
+ cosx + sinx (D) y= −e
2x
+xe
2x
+3sin x + 4cos x
11 下列那一函數滿足 Laplace 方程式
? (A)u = sin x cos y (B) u = tan
−1
( y/x ) (C) u = x
2
+ y
2
(D)u = sinh x cosh y
12 f (t) 是週期 2π的函數, 在 −π ≤ t < π 之間定義為 f (t) = │t│。 將 f (t) 的 傅立葉級數(Fourier series)表示成
,求 a
0/
2 之值為何? (A)π/2 (B)π (C) 2π (D) 4π
13 給定一個連續隨機變數 X,它的機率密度函數為
,則條件期望值 E(X | X ≤ 6)為何? (A) 3.0 (B) 5.0 (C) 6.0 (D) 10.8
14 二維隨機變數 X 與 Y 的聯合機率密度函數(joint probability density function)為
。則 X
2
+Y
2
< 1的機率為何? (A) 1/16 (B) 1/8 (C) 3/16 (D) 1/4
15 L{•} 代表拉氏轉換(Laplace Transform),令
,則 f(π/2) 等於多少? (A) 0 (B)1−√2/2 (C) 1 (D) 2
16 令 P
n
為所有次數小於 n 之多項式集合,C
n
[a b] , 為所有可 n 次微分之函數 f (x), x∈[a,b]所成的集合。R
n
表示 n 維實數 向量, R
n×n
表示 n 階實數矩陣。則下列敘述何者正確? (A) (1,1,0)
T
,(1,0,−1)
T
,(1,−1,2)
T
在 R
3
線性相依(linearly dependent) (B) x
2
, x │x│,此二向量在C
1
[ −1,1] 線性相依 (C)
在 R
2×2
線性獨立(linearly independent) (D) x +1, x +2 ,x
2
−1 在 P
3
線性獨立
17 下列那一個向量垂直於平面 x + 2y + 3z = 6?
18 解微分方程式
。 (A) xy = xe
y
+ ce
y
(B) y =ye
y
+ e
x
+ c (C) x = ye
y
+ ce
y
(D) ye
y
+ xe
x
=c
19 給定一個 離 散隨機變 數 ( discrete random variable ) X ,它的機 率 質 量 函 數 ( probability mass function ) 為
。定義事件(event)B 為 B = {3,4,5,6},求條件機率Pr(X = 6 | B) 為何? (A) 0 (B) 0.10 (C) 0.20 (D) 0.25
20 解微分方程式 xy′ = y
2
+ y −2 。
申論題 (9)
【已刪除】一、若 C 表示一個 │z −1│ = 2的圓,試求圍線積分
。(5 分)
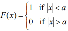
【已刪除】⑴求
之傅立葉轉換
。(5 分)
【已刪除】⑵計算
。(5 分)
【已刪除】⑶求
之值。(5 分)
⑴ A 之特徵值(eigenvalues)。(3 分)
A 之特徵向量(eigenvectors)。(3 分)
⑶計算 = e
−A
?(4 分)
【已刪除】四、有一表面 S 如下 S: x
2
+ y
2
+ z
2
=1 , z ≥0 ,假設有一向量函數為
,請計 算
之值。(10 分)
五、求出微分方程式 y ′′ + 9y = x cos x的通解。(10 分)
相關試卷
114年 - 114 專技高考_電機工程技師:工程數學(包括線性代數、微分方程、複變函數與機率)#133679
114年 · #133679
114年 - 114 專技高考_電子工程技師:工程數學(包括線性代數、微分方程、向量分析、複變函數與機率)#133677
114年 · #133677
114年 - 114 調查特種考試_三等_電子科學組:工程數學#129578
114年 · #129578
114年 - 114 國家安全情報特種考試_三等_電子組(選試英文):工程數學#127780
114年 · #127780
113年 - 113 專技高考_電子工程技師:工程數學(包括線性代數、微分方程、向量分析、複變函數與機率)#123976
113年 · #123976
113年 - 113 專技高考_電機工程技師:工程數學(包括線性代數、微分方程、複變函數與機率)#123971
113年 · #123971
113年 - 113 調查特種考試_三等_電子科學組:工程數學#122110
113年 · #122110
113年 - 113 身心障礙特種考試_三等_電力工程:工程數學#119517
113年 · #119517
112年 - 112 地方政府特種考試_三等_電力工程、電子工程:工程數學#118376
112年 · #118376
112年 - 112 專技高考_電機工程技師:工程數學(包括線性代數、微分方程、複變函數與機率)#117639
112年 · #117639