所屬科目:研究所、轉學考(插大)◆普通物理學
1. A force acting on an object moving along the x axis is given by Fx = (14x – 3.0x²) N where x is in m. How much work is done by this force as the object moves from x = –1 m to x = +2 m? (A) +12 J (B) +28 J (C) +40 J (D) +42 J (E) –28 J
2. The first stage of a Saturn V space vehicle consumes fuel and oxidizer at the rate of 1.50 × 10⁴ kg/s, with an exhaust speed of 2.60 × 10³ m/s. What is the acceleration of the vehicle just as it vertically lifts off the launch pad on the Earth if the vehicle's initial mass is 3.00 × 10⁶ kg? (A) 7.40 m/s² (B) 5.37 m/s² (C) 3.20 m/s² (D) 1.48 m/s² (E) None of the above is correct.
3. The most sensitive colors of human vision are ______. (A) yellow and green (B) red and yellow (C) blue and red (D) green and red (E) yellow and orange
4. Over a certain region of space, the electric potential is V = 5x – 3x²y + 2yz². What is the magnitude of the field at the point P that has coordinates (1, 0, –2) m? (A) 38 N/C (B) 42 N/C (C) 23 N/C (D) 17 N/C (E) 7 N/C
5. A battery has an emf of 15.0 V. The terminal voltage of the battery is 11.6 V when it is delivering 20.0 W of power to an external load resistor R. What is the internal resistance of the battery? (A) 4.97 Ω (B) 3.97 Ω (C) 2.97 Ω (D) 1.97 Ω (E) 0.97 Ω
6. What is the cyclotron frequency of a proton in a magnetic field of magnitude 5.20 T? (The mass of a proton is 1.67×10⁻²⁷ kg. The charge of a proton is 1.60×10⁻¹⁹ C) (A) 1.98×10⁸ rad/s (B) 2.98×10⁸ rad/s (C) 3.98×10⁸ rad/s (D) 4.98×10⁸ rad/s (E) 5.98×10⁸ rad/s
7. Seven rings are arranged in hexagonal, planar pattern so as to touch each neighbor, as shown in the figure. Each ring is a uniform loop of mass m and radius r. What is the moment of inertia of the system of seven rings about an axis that passes through the center of the center ring and is normal to the plane of the system? (A) 7mr² (B) 11mr² (C) 13mr² (D) 23mr² (E) 31mr²
8. Three stars of equal mass m rotate in a circular path of radius r about their center of mass, as shown in the figure. They are equidistance from each other. The angular velocity of the motion is ______. (A) (B) (C) (D)(E)
9. A nonconducting sphere of radius R has a total charge Q spread uniformly throughout its volume. What is the potential energy of the sphere? (k =) (A) (B) (C) (D) (E)
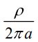
10. A thick spherical shell has an inner radius a and an outer radius 2a. The material has resistivity ρ. When a potential difference is applied between the inner and outer surfaces, assuming the current is radial at all points, the resistance is ______. (A) (B) (C) (D)(E)
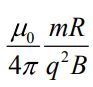
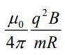
11. A particle of mass m and charge q is in a circular orbit of radius R normal to an external magnetic field B. The magnetic field, at the center of its orbit, created by the charge is ______. (A) (B) (C)(D) (E)
12. A disk of radius R has a uniform charge density σ. It rotates about its central axis with the angular frequency ω. A uniform magnetic field B is normal to the axis. The torque on the disk is ______. (A)σωπBR⁴ (B) σωBR⁴ (C)σωπBR² (D) σωBR² (E) σωπBR⁴
13. Which of the following is false? (A) Entropy is a measure of the disorder in a system. (B) Entropy is a state function; it depends only on the equilibrium state of the system. (C) The entropy change in an isolated system is either zero or greater than zero. (D) The increase in entropy of a system is associated with the transition from states of low probability to those of high probability. (E) The transition of liquid water to the more ordered crystalline state of ice is forbidden by the second law of thermodynamics.
14. If the total energy of a moving particle of rest mass m is equal to 3 times of its rest energy, then the magnitude of the particle's relativistic momentum is ______. (A) mc (B) 2 mc (C) mc (D) 3 mc (E) 2mc
15. An electron is trapped within an infinite potential well of length 0.1nm. What is the ground state energy? (mₑ = 9.11×10⁻³¹ kg; h = 6.63×10⁻³⁴ J·s) (A) 3.4 eV (B) 13.6 eV (C) 37.7 eV (D) 151 eV (E) 339 eV
16. The work function for lithium is 2.3 eV. The surface is illuminated with some electromagnetic wave. If the stopping potential is 0.6 V, the wavelength of the wave is ______. (A) 428 nm (B) 213 nm (C) 100 nm (D) 80 nm (E) 50 nm
17. In the transistor, the impurities in the crystals that are generally used are ______. (A) Osmium and Cerium (B) Silicon and Germanium (C) Cadmium and Strontium (D) Boron and Phosphorus (E) Gallium and Lanthanum
18. A uranium nucleus at rest decays into a thorium nucleus and a helium nucleus: ²³⁸U → ²³⁴Th + ⁴He. Which of the following is true? (A) Each decay product has the same speed. (B) Each decay product has the same kinetic energy. (C) The decay products tend to go in the same direction. (D) The thorium nucleus has more momentum than the helium nucleus. (E) The helium nucleus has more kinetic energy than the thorium nucleus.
19. An air filled parallel plate capacitor has a capacitance of 1μF. The plate separation is then doubled and a wax dielectric is inserted, completely filling the space between the plates. As a result, the capacitance becomes 2μF. The dielectric constant of the wax is ______. (A) 0.25 (B) 0.5 (C) 2.0 (D) 4.0 (E) 8.0
20. The circuit shown below has been connected for a long time. Now the battery is disconnected. What is the time required for the capacitor to discharge to one fourth of its initial voltage in terms of R and C? (ln2=0.693) (A) 4.620 RC (B) 2.495 RC (C) 10.397 RC (D) 4.990 RC (E) 2.130 RC
21. A photon whose wavelength is 2.48×10⁻¹¹ m is scattered off an electron at an angle of 90° in a Compton experiment. What is the wavelength of the scattered wave? (mₑ = 9.11×10⁻³¹ kg; h = 6.63×10⁻³⁴ J·s; c = 3.00×10⁸ m/s; e = 1.60×10⁻¹⁹ C) (A) 1.24×10⁻¹¹ m (B) 2.25×10⁻¹¹ m (C) 2.72×10⁻¹¹ m (D) 2.40×10⁻¹¹ m (E) 2.48×10⁻¹¹ m
22. A monochromatic X-ray beam of wavelength λ = 2.82×10⁻¹⁰ m is incident on a crystal. The first order diffraction maximum occurs when the grazing angle θ is 30°. Find the crystal plane spacing d. (A) 3.98×10⁻¹⁰ m (B) 4.88×10⁻¹⁰ m (C) 1.99×10⁻¹⁰ m (D) 1.63×10⁻¹⁰ m (E) 2.82×10⁻¹⁰ m
23. If a plane electromagnetic wave traveling in the x-direction has = –kEmax sin(kx – ωt), we can deduce thatis equal to ______. (A) kBmax sin(kx – ωt) (B) cBmax sin(kx – ωt) (C) ωBmax sin(kx – ωt) (D)ωcBmaxsin(kx – ωt) (E)sin(kx – ωt)
24. What is the force of radiation pressure on a perfect absorber of area 160 m² when the electromagnetic flux of 1000W/m² travels in a direction perpendicular to the surface? (A) 2.61×10⁻⁴ N (B) 5.33×10⁻⁴ N (C) 5.12×10⁻⁴ N (D) 4.89×10⁻⁴ N (E) 5.01×10⁻⁴ N
25. At a distance of 50 m from a jet fighter which is in the process of take-off, the sound level is 120 dB. What is the sound level at a distance of 500 m? Assume that the jet is a point source of sound. (A) 120 dB (B) 100 dB (C) 110 dB (D) 80 dB (E) 90 dB