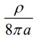
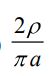
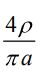
10. A thick spherical shell has an inner radius a and an outer radius 2a. The material has resistivity ρ. When a potential difference is applied between the inner and outer surfaces, assuming the current is radial at all points, the resistance is ______.
(A)
(B) 
(C) 
(D)
(E) 
答案:登入後查看
統計: 尚無統計資料
統計: 尚無統計資料