阿摩線上測驗
登入
首頁
>
天氣學
> 96年 - 096年高等三級暨普通氣象(普考)#36110
96年 - 096年高等三級暨普通氣象(普考)#36110
科目:
天氣學 |
年份:
96年 |
選擇題數:
0 |
申論題數:
11
試卷資訊
所屬科目:
天氣學
選擇題 (0)
申論題 (11)
一、⑴試以環境溫度遞減率(environmental temperature lapse rate)的大小說明大氣垂 直穩定度的分類。(10 分)
⑵簡述有那些過程可以造成穩定度隨時間的改變?(10 分)
二、⑴試導出測高方程(hypsometric equation)。(10 分)
⑵依此方程說明吾人如何自山地測站測得之氣壓值訂正至海平面氣壓。(10 分)
⑴推導出準地轉重力位趨勢方程(QG geopotential tendency equation)。(10 分)
⑵解釋各項之作用與所代表之物理意義。(10 分)
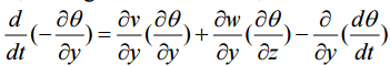
【已刪除】⑴設 x 軸平行於等位溫(θ)線,y 軸指向冷區,推導出三維運動之一維鋒生方程 (frontogenetical function),如下式所示:
⑵說明各項之作用與物理意義為何?(10 分)
五、⑴何謂信風(trade wind)?試簡述信風形成的原因與特徵為何?(7.5 分)
⑵何謂季風(monsoon)?試簡述季風形成的原因與特徵為何?(7.5 分)
⑶季風與梅雨季的關連為何?(5 分)
相關試卷
114年 - 114 公務升官等考試_薦任_氣象:天氣學(包括天氣分析與天氣預報)#133183
114年 · #133183
114年 - 114 高等考試_三級_氣象:天氣學(包括天氣分析與天氣預報)#128450
114年 · #128450
114年 - 114 普通考試_氣象:天氣學概要(包括基礎天氣分析與基礎大氣動力學)#128408
114年 · #128408
113年 - 113 台灣電力公司_大學及研究所獎學金甄選試題_綠能氣象與再生能源預測:天氣學與氣候學#129318
113年 · #129318
113年 - 113 普通考試_氣象:天氣學概要(包括基礎天氣分析與基礎大氣動力學)#121220
113年 · #121220
113年 - 113 高等考試_三級_氣象:天氣學(包括天氣分析與天氣預報)#121201
113年 · #121201
112年 - 112 公務升官等考試_薦任_氣象:天氣學(包括天氣分析與天氣預報)#117117
112年 · #117117
112年 - 112 高等考試_三級_氣象:天氣學(包括天氣分析與天氣預報)#115403
112年 · #115403
112年 - 112 普通考試_氣象:天氣學概要(包括基礎天氣分析與基礎大氣動力學)#115322
112年 · #115322
112年 - 112 身心障礙特種考試_四等_氣象:天氣學概要(包括基礎天氣分析與基礎大氣動力學)#113791
112年 · #113791