阿摩線上測驗
登入
首頁
>
天氣學
>
96年 - 096年高等三級暨普通氣象(普考)#36110
> 申論題
申論題
試卷:96年 - 096年高等三級暨普通氣象(普考)#36110
科目:天氣學
年份:96年
排序:0
申論題資訊
試卷:
96年 - 096年高等三級暨普通氣象(普考)#36110
科目:
天氣學
年份:
96年
排序:
0
題組內容
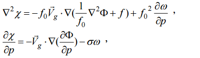
三、設已知簡化之準地轉(quasi-geostrophic,QG)渦度方程與熱能方程分別為:
其中 χ = ∂Φ/∂t,Φ 為重力位,σ = −α(dln θ/dp)為靜力穩定度參數,其它符號為一 般通用者。試由此兩式:
申論題內容
⑵解釋各項之作用與所代表之物理意義。(10 分)