所屬科目:中油◆理化
3.坐標平面上兩直線的斜率分別為,則下列何者為其一交角? (A) 30° (B) 36° (C) 45° (D) 60°
6.試問有多少個正整數n,使得為整數? (A) 1個 (B) 2個 (C) 3個 (D) 4個
7.假設a =,則a介於哪兩個連續整數之間? (A) 3 < a < 4 (B) 4 < a < 5 (C) 5 < a < 6 (D) 6 < a < 7
8.如下圖,四直線的斜率分別為m1、m2、m3、m4,則斜率(含正、負符號)由大排到小的第二順位為何? (A) m1 (B) m2 (C) m3 (D) m4
9.假設 ,求 ( 2 +ω) ( 2 +ω2) ( 2 +ω4) ( 2 +ω8)=? (A) 3 (B) 9 (C) 27 (D) 81
12.假設n∈N,若表的整數部分,對於滿足= 5之所有n,請問n值有幾個? (A) 10 (B) 11 (C) 12 (D) 13
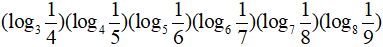
13.計算? (A) 1 (B) 2 (C) 3 (D) 4
18.某校想要了解全校同學是否知道中央政府五院院長的姓名﹐出了一份考卷。該卷共有五個單選題,滿分100分,每題答對得20分,答錯得零分,不倒扣。閱卷完畢後,校方公布每題的答對率如下﹕請問此次測驗全體受測同學的平均分數是多少分? (A) 55 (B) 60 (C) 65 (D) 70
19.若你想找一個與你在同一月份出生的人(年次不計),則至少需要問n個人才能使碰上的機率大於,n的最小值為何?(已知log1.1=0.0414,log1.2=0.0792,log2=0.3010) (A) 7 (B) 8 (C) 9 (D) 10
20.設θ是第二象限角,且sinθ= ,則sin(θ+90°)+sin(θ+180°)+sin(θ+270°)的值為何? (A)-2 (B) (C) (D)
21.假設0° ≤ θ ≤ 270°,滿足2sin2θ-3sinθ-2=0時,θ=? (A) 30° (B) 150° (C) 210° (D) 240°
22.梯形ABCD中且=13,=25,=15, =11,則此梯形面積為何? (A) 210 (B) 212 (C) 214 (D) 216
23.設α、β分別是二、三象限角,且sinα= ,sinβ=,則α+β是: (A) 第一象限角 (B) 第二象限角 (C) 第三象限角 (D) 第四象限角
24.在0 ≤ x ≤ 4π中,y=sin2x與y=cosx之圖形共有n個交點,則n=? (A) 2 (B) 4 (C) 8 (D) 16
40.相同的兩金屬球,各帶Q與7Q的電量,若兩球相距d時,其間的庫侖斥力為F,則將兩球以導線連接後一段時間,距離仍為d時,其間的庫侖斥力變為多少? (A)F (B)F(C)F(D)F
41.西元1654年,在德國 馬德堡市進行的「馬德堡半球實驗」,證實大氣壓力所產生的力效應是很大的。當時馬德堡市市長給呂薩克熱衷科學研究,他將兩個直徑為55公分的空心銅半球接合在一起,將球內的空氣抽除後,必須在銅球兩側分別驅動8匹駿馬用力拉,方可將兩半球拉開。若以大小不同的銅球進行上述大氣壓力的實驗,則欲將抽氣後的空心銅球拉開,何者所需要的馬匹最多? (A)(B)(C) (D)
42.重量5 kgw的木塊下端繫住一細繩,當達靜力平衡時,細繩上的張力為3 kgw,如下圖所示。此時將細繩剪斷後木塊上浮的過程中,木塊所受的合力為多少?方向為何? (A) 5 kgw,向下 (B) 8 kgw,向上 (C) 3 kgw,向上 (D) 2 kgw,向下
55.下列何者含有最多的氧原子? (O=16) (A)3.2克的氧氣 (B)0.2莫耳氧原子 (C)個臭氧分子 (D)18克水分子中
57.反應 N2(g) + 3H2(g) 2NH3(g) 的速率表示法: R = - k1 = - k2 = k3 ,則k1:k2:k3 =? (A)1:3:2 (B)6:2:3 (C)1:1:1 (D)2:3:1
60.下列何項敘述與氫鍵有關? (A) NaOH易溶於水 (B)黏滯性的大小為:丙三醇>乙二醇>乙醇 (C)重水之沸點比水高 (D)氯化鈉水溶液的沸點高於100℃