阿摩線上測驗
登入
首頁
>
試驗設計
> 96年 - 96 高等考試_二級_農業技術:試驗設計#38447
96年 - 96 高等考試_二級_農業技術:試驗設計#38447
科目:
試驗設計 |
年份:
96年 |
選擇題數:
0 |
申論題數:
13
試卷資訊
所屬科目:
試驗設計
選擇題 (0)
申論題 (13)
⑴請說明此試驗所使用的設計是何種設計。並寫出其對應的統計模式。 分) (8
⑵若是忽略氮肥處理,亦即將上表中每一格子中之三個觀測值以其平均值取代,經過此種簡化的 過程後,原始資料的 60 個觀測值,此時濃縮成 20 個數值,請問此簡化後試驗資料可以用何種 模式來分析?寫出分析的模式。 分) (8
【已刪除】 ⑶下圖是根據十五個處理組合平均值所繪製之交感圖,請問品種與氮肥的交感顯著嗎?簡短說 明 )。9分
⑴簡短說明資料做轉換的用意何在?(6 分)
⑵觀察上圖(a)與(b),並說明是否建議做資料轉換,簡短說明理由。 6 分) (
【已刪除】 ⑶某些統計計算軟體可以估算出冪轉換的冪值
,其估算值為
= 0.39 ,與此估值對應的 λ 信賴 ˆ 區間為(0.17, 0.60),請問 Box-Cox 的方法所得的結果是否支持一般的根號轉換 ( √y) 也是合理的轉換?(請簡短說明) (6 分)
⑷對於應做轉換的資料,沒有做轉換即直接做一般的線型統計分析,可能會出現何種問題,請 舉例做簡短說明。 ( 7 分)
⑴變方分析是初步的分析,目的在於檢定:四種處理效應是否顯著,亦即,
H
0
: τ
(1)
= τ
( 2)
= τ
(3)
= τ
( 4)
= 0 , 請問要根據表1.或是表2.來判斷虛無假說的合適性。 (8 分)
【已刪除】 ⑵請問試驗者在分析資料後將處理平均值與機差均方列表於試驗報告
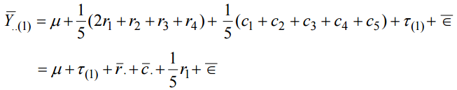
這種表示法在非直交性的資料下並不是有意義的 請根據試驗配置圖與模式寫出各處理平均值 , 的模式 Y..(1) , Y..( 2) , Y..(3) , Y..( 4) 並根據這些平均值的模式回答為何不是有意義的。註:這與變績分 析時,情形相類似,要將校正後的處理均值(adjusted treatment means)呈現出來而不是將通 常的處理平均值呈現出來。( 8 分) 提示:下列是參照數據中配置圖所寫出的第一個處理(處理 A)的平均值模式
模仿此模式,寫出其餘三個處理的平均值模式。
【已刪除】 ⑶在本數據的分析,校正後的平均值其計算方式如下
上式中之
是一基準值的估值,
是第 k 個處理的效應估值,
,
均值。請根據下列的參數估值計算四個校正後的處理平均值。( 9 分)
⑴請觀察上述配置圖,並說明此種方式的配置屬於下述何種設計。 8 分) ( 1.兩因子的完全區集設計(Complete block design)
2.兩因子的拉丁方格設計(Latin square design)
3.兩因子的裂區設計(Split plot design)
4.兩因子的條區設計(Split block design)
⑵請寫出變方分析表的前兩個欄位:亦即,變因與自由度。 8 分) (
⑶請問在此種設計中有幾種不同的試驗單位?(9 分)
相關試卷
114年 - 114 地方政府公務特種考試_三等_農業技術:試驗設計#134716
114年 · #134716
114年 - 114 專技高考_農藝技師:試驗設計#133681
114年 · #133681
114年 - 114 公務升官等考試_薦任_農業技術:試驗設計#133253
114年 · #133253
114年 - 114 高等考試_二級_農業技術:試驗設計#131566
114年 · #131566
114年 - 114 原住民族特種考試_三等_農業技術:試驗設計#130951
114年 · #130951
114年 - 114 高等考試_三級_農業技術:試驗設計#128714
114年 · #128714
113年 - 113 地方政府公務特種考試_三等_農業技術:試驗設計#124510
113年 · #124510
113年 - 113 專技高考_農藝技師:試驗設計#123930
113年 · #123930
113年 - 113 高等考試_二級_農業技術:試驗設計#123074
113年 · #123074
113年 - 113 原住民族特種考試_三等_農業技術:試驗設計#122671
113年 · #122671