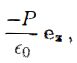
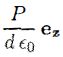
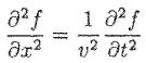
11. There is an infinite dielectric slab lying on the x-y plane, which has an uniform polarization P along the z-direction, as shown in Fig. 5. The thickness of the slab is d. What is the electric field inside the dielectric slab?
where P = |P| is the magnitude of the polarization, and eₓ, eᵧ, and eₓ are the unit vectors along x, y, and z-axes.

(A) -Pdε₀eₓ (B)
(C)
(D)
(E)