阿摩線上測驗
登入
首頁
>
土壤力學
> 97年 - 97 專技高考_大地工程技師:土壤力學(包括土壤動力學)#48705
97年 - 97 專技高考_大地工程技師:土壤力學(包括土壤動力學)#48705
科目:
土壤力學 |
年份:
97年 |
選擇題數:
0 |
申論題數:
6
試卷資訊
所屬科目:
土壤力學
選擇題 (0)
申論題 (6)
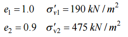
一、有一地層剖面如下圖所示,其中黏土層在正常壓密段之壓密試驗結果如下:
試求其壓縮指數 C
c
(5 分);試驗結果顯示該黏土之預壓密應力
, 1 再壓指數 C
r
=
C c ,壓密係數 c
v
=0.00294 cm
2
/ sec ,二次壓縮指數 C
a
= 0.02 ;假如 8 一均佈載重 △σ
v
= 100 kN / m
2
作用在地表面,試估計黏土層之主要壓密沈陷量(10 分) 與達到 90%壓密度所需之時間(5 分);假設主要壓密完成時間為 0.8 年,請預估 主要壓密完成後 5 年之二次壓縮沈陷量(5 分)。(壓密度U % = 90%, T
v
= 0.848 )
二、某一標準砂三軸排水試驗結果為 σ '
3
= 150 kPa 與 (σ'
1
/ σ'
3
)
max
= 3.4 ,試求破壞時之軸 差應力 (σ
1
- σ
3
)
f
(5 分)以及有效摩擦角
Φ'
(5 分)。同一砂土在相同圍壓下不排 水受剪,破壞時之超額孔隙水壓 △u
f
= 70 kPa ,試求破壞時之軸差應力 (σ
1
- σ
3
)
f
(5 分)、總應力摩擦角
φ
total
(5 分)以及破壞面與水平面之夾角
a
f
(5 分)。
三、何謂地震加速度反應譜?(5 分);何謂場址相依之加速度反應譜?(5 分);如何 製作設計加速度反應譜?(5 分)
⑴水壓計如果裝設在 a,b,c,d 等處,其水位將超過地表多高?(10 分)
⑵其單位長度(垂直於剖面)之滲流量?(10 分)
五、如下圖所示之層狀地盤,試求其水平向振動之基本週期。(15 分)
相關試卷
115年 - 115 身心障礙特種考試_三等_水利工程:土壤力學#138967
115年 · #138967
114年 - 114 地方政府公務特種考試_三等_水利工程:土壤力學#134749
114年 · #134749
114年 - 114 地方政府公務特種考試_三等_土木工程:土壤力學#134689
114年 · #134689
114年 - 114 專技高考_大地工程技師:土壤力學(包括土壤動力學)#133687
114年 · #133687
114年 - 114 原住民族特種考試_三等_土木工程:土壤力學#130928
114年 · #130928
114年 - 114 原住民族特種考試_三等_土木工程:土壤力學#130927
114年 · #130927
114年 - 114 原住民族特種考試_三等_土木工程:土壤力學#130926
114年 · #130926
114年 - 114 原住民族特種考試_三等_土木工程:土壤力學#130925
114年 · #130925
114年 - 114 高等考試_三級_水利工程:土壤力學#128668
114年 · #128668
114年 - 114 高等考試_三級_土木工程:土壤力學#128630
114年 · #128630