阿摩線上測驗
登入
首頁
>
機械設計
> 97年 - 97 高等考試_三級_機械工程:機械設計#32477
97年 - 97 高等考試_三級_機械工程:機械設計#32477
科目:
機械設計 |
年份:
97年 |
選擇題數:
0 |
申論題數:
4
試卷資訊
所屬科目:
機械設計
選擇題 (0)
申論題 (4)
【已刪除】一、如下圖所示之簡支樑,其材料為結構鋼(降伏強度為 250 MPa),若樑之截面為正 方型,求可支撐 P=1000 N 之力的最小樑之截面尺寸(安全係數為 5)。若材料改 為鑄鐵(降伏強度為 150 MPa),相同截面下且安全係數為 5,則最大可承載之外 力 P 為多少?並說明你所使用的破壞預測理論。(25 分)
【已刪除】二、若一滾珠軸承受到 100 N 的徑向力,以 100 rpm 的轉速運轉,其壽命為 100 小時(90% 的可靠度),若要使其壽命延長為 200 小時,要如何調整其徑向力?額定壽命所代 表的意義亦請說明之。(25 分) (註:
,L 及 P 分別為壽命及載重。)
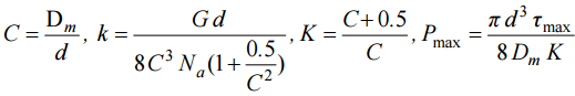
【已刪除】三、一個兩端未修整(plain)之彈簧平均直徑(coil mean diameter)為 15 mm,彈簧係 數為 1 N/mm,彈簧線之剪模數(shear modulus)G=80 GPa,最大容許剪應力為 480 N/mm2,最大載重為 100 N,求彈簧圈數及線徑。(25 分) (註:
上式中 D
m
=平均直徑,d 為線徑,N
a
為有效圈數。)
【已刪除】四、求如下圖所示煞車之 a 值,若鼓輪之直徑為 200 mm,扭矩為 5000 N-mm,摩擦係 數為 0.25,P=100 N。(25 分)
相關試卷
115年 - 115 身心障礙特種考試_四等_機械工程:機械設計概要#138890
115年 · #138890
115年 - 115 身心障礙特種考試_三等_機械工程:機械設計#138882
115年 · #138882
114年 - 114 地方政府公務特種考試_三等_機械工程:機械設計#134728
114年 · #134728
114年 - 114 地方政府公務特種考試_四等_機械工程:機械設計概要#134719
114年 · #134719
114年 - 114 公務、關務升官等考試_薦任_機械工程、技術類(選試機械設計)-關務:機械設計#133265
114年 · #133265
114年 - 114 交通事業港務升資考試_員級晉高員級_技術類(選試機械設計)-港務:機械設計#133244
114年 · #133244
114年 - 114 高等考試_二級_機械工程:機械設計學#131583
114年 · #131583
114年 - 114 原住民族特種考試_四等_機械工程:機械設計概要#130917
114年 · #130917
114年 - 114 高等考試_三級_機械工程:機械設計#128741
114年 · #128741
114年 - 114 普通考試_機械工程:機械設計概要#128447
114年 · #128447