阿摩線上測驗
登入
首頁
>
航行學
> 97年 - 97 高等考試_三級_航空駕駛(選試直昇機飛行原理):航行學#40425
97年 - 97 高等考試_三級_航空駕駛(選試直昇機飛行原理):航行學#40425
科目:
航行學 |
年份:
97年 |
選擇題數:
0 |
申論題數:
6
試卷資訊
所屬科目:
航行學
選擇題 (0)
申論題 (6)
【已刪除】一、海浬(Nautical mile)的定義為大圓(Great circle)上兩點的圓心角(以符號θ表示) 的弧分(Minute of arc)值。若大圓上任兩點的經度(Longitude,以符號 θ 表示)及 緯度(Latitude,以符號 λ 表示)分別為 φ1 、 λ1 、 φ 2 及λ 2 ,其圓心角可以由下式計 算得之:
若台北松山機場及北京首都機場的經緯度分別為 121º33'E, 25º04'N 及 116º35'E, 40º04'N, 求這兩機場間的距離(海浬)。(10 分)
二、位置推估法(Dead reckoning)及定位法(Positioning)是導航系統的主要兩種演算 法,請問慣性導航系統的演算法是屬於那一種?(5 分)並請說明慣性導航系統的原 理(10 分)及這種演算法的優、缺點。(10 分)
三、位置推估法的應用:假設一架飛機以三百節(Knots)的速率朝向東邊飛行,若此時 南風的速率為十節,請問一小時以後,飛機的位置在那?(10 分)
四、定位法的應用:陸基(Ground-based)的助航設備有所謂的 theta-theta、rho-theta 及 rho-rho 的定位演算法,試舉一利用 rho-rho 定位演算法的助航設備的名稱,(5 分) 並說明其工作原理。(10 分)
【已刪除】五、皮托管(Pitot tube)量測氣流的全壓及靜壓,假設氣流為不可壓縮流,空速表利用 此二者的壓差
及海平面大氣密度 ρ
0
,來求指示空速(Indicated airspeed, 2 IAS,以符號V
IAS
表示),如下式:
請問指示空速與真實空速(True airspeed, TAS,以符號 V 表示)的關係為何?(10 分) 若在接近地球表面,高度與密度的關係可以下式表示:
其中 h 為高度,單位為 m。請問在高度一公里時指示空速為三百節,其真實空速為 何?(15 分)
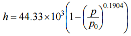
【已刪除】六、標準大氣層在離地表十一公里內的對流層溫度與高度是呈線性變化,並假設大氣為 理想氣體,在接近地球表面,壓力跟高度變化的關係可如下式所示,根據此公式求 得的高度稱為壓力高度(Pressure altitude)。
其中
h = 高度,m
p = 大氣壓力,Nt/m
2
p
0
=海平面大氣壓力,Nt/m
2
若海平面大氣壓力為 1.0133 × 10
5
Nt/m
2
,皮托管量測氣流的靜壓為 2.65 × 10
4
Nt/m
2
, 請問此時的飛行高度為何?(15 分)
相關試卷
114年 - 114 高等考試_三級_航空駕駛(選試直昇機飛行原理):航行學#128761
114年 · #128761
113年 - 113 高等考試_三級_航空駕駛(選試直昇機飛行原理):航行學#121239
113年 · #121239
112年 - 112 高等考試_三級_航空駕駛(選試直昇機飛行原理):航行學#115458
112年 · #115458
111年 - 111 高等考試_三級_航空駕駛(選試直昇機飛行原理):航行學#109222
111年 · #109222
110年 - 110 高等考試_三級_航空駕駛(選試直昇機飛行原理):航行學#102414
110年 · #102414
109年 - 109 高等考試_三級_航空駕駛(選試直昇機飛行原理):航行學#88906
109年 · #88906
108年 - 108 高等考試_三級_航空駕駛(選試直昇機飛行原理):航行學#77845
108年 · #77845
107年 - 107 高等考試_三級_航空駕駛(選試直昇機飛行原理):航行學#70792
107年 · #70792
106年 - 106 高等考試_三級_航空駕駛(選試直昇機飛行原理):航行學#63434
106年 · #63434
105年 - 105 高等考試_三級_航空駕駛(選試直昇機飛行原理):航行學#54084
105年 · #54084