阿摩線上測驗
登入
首頁
>
程式設計
> 98年 - 098年專門職業及技術人員高等建築師、技師、消防設備師、普通不動產經紀人、記帳士、第二次消防設備士暨語言治療師資訊技師#32441
98年 - 098年專門職業及技術人員高等建築師、技師、消防設備師、普通不動產經紀人、記帳士、第二次消防設備士暨語言治療師資訊技師#32441
科目:
程式設計 |
年份:
98年 |
選擇題數:
0 |
申論題數:
8
試卷資訊
所屬科目:
程式設計
選擇題 (0)
申論題 (8)
【已刪除】⑴試寫出 n 階乘的疊代函式(iterative function)如下:(10 分)
【已刪除】⑵試寫出 n 階乘的遞迴函式(recursive function)如下:(10 分)
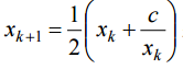
【已刪除】二、利用巴比倫法(Babylonian method)計算平方根的方法如下:欲計算一數值c ≥ 0 的平方根 x =√ c ,可利用
來逼近求解,其中x0為一初始估計值( initial guess),如此反覆逼近,直到|x
k+1
– x
k
| < tol(某個容忍誤差值,例如:10
–4
)。試 寫出計算c的平方根的函數如下:(20 分)
【已刪除】三、假設灰階影像的灰階值為 0~255(可用 unsigned char 表示),其寬為 width 像素 (pixels),高為 height 像素,其類別 image 如下,其中 pixel 為指標指向二維影像 的像素值:
試寫出image 的建構子(constructor)image(int w, int h),其中參數w 為影像寬度,而h 為影 像高度,配置記憶體使得每個像素pixel[r][c]皆初始為0 (0 ≤ r ≤ h–1,0 ≤ c ≤ w–1)。(20 分)
⑴試問程式執行後,會列印什麼結果?為什麼?(10 分)
⑵結果是否有錯誤?若有錯誤,是何原因?該如何解決?(10 分)
⑴ Java提供何種類別(class)作為TCP資料傳輸,以及何種類別作為UDP資料傳輸?(10分)
⑵試寫一 Java 的 TCP 日期伺服程式(date server),其 port number 為 6013,當 client 連上來時,將目前伺服器的時間送回給 client。(10 分)
相關試卷
115年 - 115 身心障礙特種考試_四等_資訊處理:程式設計概要#138996
115年 · #138996
115年 - 115 關務特種考試_四等_資訊處理(選試英文):程式設計概要#138932
115年 · #138932
114年 - 114 地方政府公務特種考試_四等_資訊處理:程式設計概要#134763
114年 · #134763
114年 - 114 專技高考_資訊技師:程式設計#133686
114年 · #133686
114年 - 114 普通考試_資訊處理:程式設計概要#128722
114年 · #128722
114年 - 114 關務特種考試_四等_資訊處理(選試英文):程式設計概要#126658
114年 · #126658
114年 - 114 身心障礙特種考試_四等_資訊處理:程式設計概要#126591
114年 · #126591
113年 - 113 地方政府公務、離島地區公務特種考試_四等_資訊處理:程式設計概要#124356
113年 · #124356
113年 - 113 專技高考_資訊技師:程式設計#123958
113年 · #123958
113年 - 113 普通考試_資訊處理:程式設計概要#121162
113年 · #121162