阿摩線上測驗
登入
首頁
>
(工業)安全工程
> 98年 - 098年專門職業及技術人員高等建築師、技師、消防設備師、普通不動產經紀人、記帳士、第二次消防設備士暨語言治療師工業安全技師#34567
98年 - 098年專門職業及技術人員高等建築師、技師、消防設備師、普通不動產經紀人、記帳士、第二次消防設備士暨語言治療師工業安全技師#34567
科目:
(工業)安全工程 |
年份:
98年 |
選擇題數:
0 |
申論題數:
8
試卷資訊
所屬科目:
(工業)安全工程
選擇題 (0)
申論題 (8)
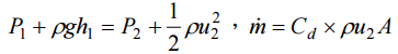
【已刪除】一、ㄧ壓力儲槽之錶壓為 2 kgf/cm
2
,其直徑為 10 公尺且高為 10 公尺,若其液位為 8 公 尺且槽底有直徑為 2 公分之破洞,試計算其最大之洩漏率為每小時多少公斤?(若 液體密度為 860 kg/m
3
,洩漏常數Cd 為 0.6)(20 分)
二、8000 ppm 之氨氣洩漏造成 50%人數死亡之曝露時間為多少分鐘?試利用下列公式計 算之:Pr = −35.9 +1.85ln(C
2
T)(20 分)
三、有一處地下室發生CO
2
氣體鋼瓶洩漏,已將氧氣濃度稀釋至 13%,有立即的致命危險, 請問此刻的CO
2
濃度約為多少?若此時鋼瓶洩漏已被控制並關斷,且開始啟動排風機, 以每小時四次的換氣量將地下室氣體抽出。若CO2的容許濃度標準是 5000 ppm,請 問一個鐘頭後,地下室已達安全要求了嗎?請用計算結果說明之。(此題濃度屬體 積濃度,且假設換氣時地下室氣體始終分布均勻。)(20 分)
【已刪除】四、有一天車之作業用吊箱如下圖所示,係使用四根 3 m長且安全係數為 6 的吊掛用鋼 索支撐並維持平衡,鋼索材料在斷裂荷重時之強度為 3,750 kg/cm
2
。若此天車屬於 危險性機械,則每一吊掛用鋼索之截面積應在多少以上?(20 分)
⑴請評論此臨時插座的接線方式。
⑵該員工將插頭插上插座的瞬間,可能會發生那些狀況?
⑶在什麼情況,該員工會發生感電意外?
⑷依照下表數據,當意外發生時,通過其身體的電流有多少?有無致命的危險? 使用電壓E 電源線路電阻RL 第二種接地電阻R2 人體電阻RM 足踏點電阻RS 致命電流 110 V 2 Ω 50 Ω 1000 Ω 200 Ω 100 mA
相關試卷
114年 - 114 地方政府公務特種考試_三等_職業安全衛生:安全工程#134667
114年 · #134667
114年 - 114 地方政府公務特種考試_四等_職業安全衛生:安全工程概要#134656
114年 · #134656
114年 - 114 專技高考_工業安全技師:工業安全工程#133644
114年 · #133644
114年 - 114 高等考試_三級_職業安全衛生:安全工程#128736
114年 · #128736
113年 - 113 地方政府公務特種考試_三等_職業安全衛生:安全工程#124559
113年 · #124559
113年 - 113 地方政府公務特種考試_四等_職業安全衛生:安全工程概要#124345
113年 · #124345
113年 - 113 中央印製廠新進人員_甄試試題:工業安全工程#123105
113年 · #123105
113年 - 113 高等考試_三級_職業安全衛生:安全工程#121509
113年 · #121509
113年 - 113 普通考試_職業安全衛生:安全工程概要#121155
113年 · #121155
112年 - 112 臺灣菸酒股份有限公司從業職員及從業評價職位人員甄試_從業職員/職業安全衛生管理_專業科目 3:安全工程#137484
112年 · #137484