阿摩線上測驗
登入
首頁
>
天氣學
> 98年 - 098年高等三級暨普通高3_氣象#34564
98年 - 098年高等三級暨普通高3_氣象#34564
科目:
天氣學 |
年份:
98年 |
選擇題數:
0 |
申論題數:
7
試卷資訊
所屬科目:
天氣學
選擇題 (0)
申論題 (7)
一、大氣中有那幾種穩定層(或逆溫層)?其形成原因為何?及如何從熱力圖(斜溫圖) 上判別出來呢?(15 分)
⑴梅雨系統與春雨系統之異同?(10 分)
⑵熱帶氣旋與龍捲風的異同?(10 分)
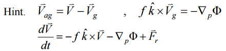
【已刪除】三、試用運動方程式推導並逐項討論地轉偏差風(ageostrophic wind)是由那些動力因素 所造成的呢?(30 分)
⑴試說明各個符號及各項所代表的物理意義各為何?(6 分)
⑵討論影響冷/暖鋒面斜率及其特性之因素為何?(14 分)
五、正壓大氣模式,只對渦度(vorticity)做預報。試問要如何從預報的 vorticity 場,推 導出預報的水平風場(u, v)、溫度場、高度場及輻合輻散場呢?(15 分)
相關試卷
115年 - 115 身心障礙特種考試_四等_氣象:天氣學概要(包括基礎天氣分析與基礎大氣動力學)#138926
115年 · #138926
114年 - 114 公務升官等考試_薦任_氣象:天氣學(包括天氣分析與天氣預報)#133183
114年 · #133183
114年 - 114 高等考試_三級_氣象:天氣學(包括天氣分析與天氣預報)#128450
114年 · #128450
114年 - 114 普通考試_氣象:天氣學概要(包括基礎天氣分析與基礎大氣動力學)#128408
114年 · #128408
113年 - 113 台灣電力公司_大學及研究所獎學金甄選試題_綠能氣象與再生能源預測:天氣學與氣候學#129318
113年 · #129318
113年 - 113 普通考試_氣象:天氣學概要(包括基礎天氣分析與基礎大氣動力學)#121220
113年 · #121220
113年 - 113 高等考試_三級_氣象:天氣學(包括天氣分析與天氣預報)#121201
113年 · #121201
112年 - 112 公務升官等考試_薦任_氣象:天氣學(包括天氣分析與天氣預報)#117117
112年 · #117117
112年 - 112 高等考試_三級_氣象:天氣學(包括天氣分析與天氣預報)#115403
112年 · #115403
112年 - 112 普通考試_氣象:天氣學概要(包括基礎天氣分析與基礎大氣動力學)#115322
112年 · #115322