阿摩線上測驗
登入
首頁
>
天氣學
>
98年 - 098年高等三級暨普通高3_氣象#34564
> 申論題
題組內容
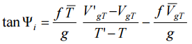
四、Margules 的鋒面斜率方程式如下。(' 表示在暖區)
(Margules frontal slope)
⑴試說明各個符號及各項所代表的物理意義各為何?(6 分)
相關申論題
一、大氣中有那幾種穩定層(或逆溫層)?其形成原因為何?及如何從熱力圖(斜溫圖) 上判別出來呢?(15 分)
#88780
⑴梅雨系統與春雨系統之異同?(10 分)
#88781
⑵熱帶氣旋與龍捲風的異同?(10 分)
#88782
⑵討論影響冷/暖鋒面斜率及其特性之因素為何?(14 分)
#88785
五、正壓大氣模式,只對渦度(vorticity)做預報。試問要如何從預報的 vorticity 場,推 導出預報的水平風場(u, v)、溫度場、高度場及輻合輻散場呢?(15 分)
#88786
五、請就斜壓度的大小、生成原因、移動速度及伴隨降水型態等,比較臺灣 區域附近的梅雨鋒面(Mei-Yu Front)與典型中緯度冷鋒(Mid-latitude Cold Front)的主要差異為何?(20 分)
#555635
四、「人工智慧」(Artificial Intelligence, AI)技術近年來快速發展,並可以應 用於許多領域。請說明天氣預報在資料處理、影像辨識、偏差修正及運算 效率等方面,可以如何使用 AI 技術以提高天氣預報準確度?(20 分)
#555634
三、請說明為何氣團的發源地多為高壓中心?一般氣團的氣團分類採用 Bergeron 之分類方式,請寫出冬季影響臺灣天氣的氣團為何(需寫出其 英文代碼)?這氣團離開源地南下的過程經常發生變性,請說明在不同 的南下過程造成氣團變性情況下,其對於臺灣天氣的影響為何?(20 分)
#555633
二、「資料同化」(Data Assimilation)為數值模式作業單位經常使用的改進 模式預報的許多技術之一。然而在有些情況下使用「資料同化」技術反 而使模式的預報效果變差,請問造成預報變差的可能原因為何?(20 分)
#555632
一、「系集預報」 (Ensemble Forecasting)為氣象作業單位目前經常使用的一 種預報技術。請說明「系集預報」如何降低預報的不確定性?(20 分)
#555631
相關試卷
114年 - 114 公務升官等考試_薦任_氣象:天氣學(包括天氣分析與天氣預報)#133183
114年 · #133183
114年 - 114 高等考試_三級_氣象:天氣學(包括天氣分析與天氣預報)#128450
114年 · #128450
114年 - 114 普通考試_氣象:天氣學概要(包括基礎天氣分析與基礎大氣動力學)#128408
114年 · #128408
113年 - 113 台灣電力公司_大學及研究所獎學金甄選試題_綠能氣象與再生能源預測:天氣學與氣候學#129318
113年 · #129318
113年 - 113 普通考試_氣象:天氣學概要(包括基礎天氣分析與基礎大氣動力學)#121220
113年 · #121220
113年 - 113 高等考試_三級_氣象:天氣學(包括天氣分析與天氣預報)#121201
113年 · #121201
112年 - 112 公務升官等考試_薦任_氣象:天氣學(包括天氣分析與天氣預報)#117117
112年 · #117117
112年 - 112 高等考試_三級_氣象:天氣學(包括天氣分析與天氣預報)#115403
112年 · #115403
112年 - 112 普通考試_氣象:天氣學概要(包括基礎天氣分析與基礎大氣動力學)#115322
112年 · #115322
112年 - 112 身心障礙特種考試_四等_氣象:天氣學概要(包括基礎天氣分析與基礎大氣動力學)#113791
112年 · #113791