阿摩線上測驗
登入
首頁
>
高考◆大氣動力學
> 98年 - 098年高等三級暨普通高3_氣象#40367
98年 - 098年高等三級暨普通高3_氣象#40367
科目:
高考◆大氣動力學 |
年份:
98年 |
選擇題數:
0 |
申論題數:
8
試卷資訊
所屬科目:
高考◆大氣動力學
選擇題 (0)
申論題 (8)
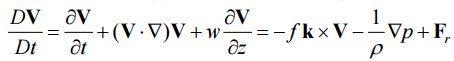
【已刪除】一、大氣水平動量方程式在高度座標可表示為
其中
V
=
V
( x, y, z , t ) 為水平風速向量, ρ 為密度,p為氣壓,
F
r
為分子摩擦力。試將 此動量方程式以及靜力方程式轉換至σ座標(σ= p/p
s
(x, y, t),p
s
為地表壓力), 並以重力位Φ來表示壓力梯度,假設p為靜力平衡。(10 分)
二、試由自然座標(natural coordinates)推導梯度風平衡(gradient wind balance)方程式, 由作用力的平衡繪圖說明北半球此風場可存在正常低壓(氣旋式的流場)及不正常 低壓(反氣旋式的流場),並推論為何觀測上北半球的颱風都是正常低壓。(15 分)
三、利用環流量(circulation)與垂直渦度(vertical vorticity)的關係,導出自然座標 下的垂直渦度,其包括兩種分量組成,即風切渦度(shear vorticity)與曲率渦度 (curvature vorticity),請解釋二者之物理意義。又北半球強烈颱風為氣旋式流 場,低層是否會可以出現反氣旋式的垂直渦度?在何處?為什麼?(10 分)
四、原始的 Navier-Stokes 動量方程式只有分子黏滯項,並無渦流傳送項,請解釋 為何大氣預報模式都有渦流傳送項。在不穩定的加熱的近地面,由渦流相關性 (eddy correlation)解釋,亂流動能 TKE(turbulent kinetic energy)方程式中 之 MP(mechanical production)及 BP(buoyant production)都是使 TKE 增加。 (10 分)
【已刪除】五、若二維簡化問題之內重力波頻率(v)與波數之關係為
其中
為東西向基本風速,N 為浮揚頻率,k 與 m 分別為水平及垂直方向之波數。 此山嶽波相速(phase speeds)及群速(group velocity)向何方向傳播?試由此關係 決定穩態的(steady-state)二維山嶽波相位須向上游傾斜。(15 分)
六、對稱不穩定發生之機制需要等位溫( θ )面之斜率須大於等絕對動量(M)面之斜 率,證明此條件相當於環境場位渦須為負。(10 分)
【已刪除】七、針對連續成層流體,Rayleigh 理論提出準地轉系統之解須滿足
其中 a 與 b 為正值, q 為準地轉平均場之位渦,u 為平均風速, c
i
為相速 c 之虛部值, 流體南北寬由-L 至 L,z*則相當於高度。由此限制討論滿足擾動不穩定的條件(斜壓、 正壓及下邊界作用等)。(15 分)
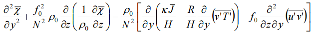
【已刪除】八、經假設後(如無摩擦曳力 drag)之緯向平均準地轉系統可得到橢圓方程式為
其中 H 為大氣 scale height,緯向平均之流函數 χ 及非絕熱加熱率 J ,描述南北及 垂直(y-z)剖面,即子午向環流(meridional circulation)。請以此方程式來討論所 謂三胞環流之 Hadley cell 及 Ferrel cell 形成的主要機制及作用。(15 分)
相關試卷
114年 - 114 公務升官等考試_薦任_氣象:大氣動力學#133182
114年 · #133182
114年 - 114 高等考試_三級_氣象:大氣動力學#128403
114年 · #128403
113年 - 113 高等考試_三級_氣象:大氣動力學#121506
113年 · #121506
112年 - 112 公務升官等考試_薦任_氣象:大氣動力學#117306
112年 · #117306
112年 - 112 高等考試_三級_氣象:大氣動力學#115412
112年 · #115412
111年 - 111 高等考試_二級_氣象:高等大氣動力學#110948
111年 · #110948
111年 - 111 高等考試_三級_氣象:大氣動力學#109426
111年 · #109426
110年 - 110 公務升官等考試_薦任_氣象:大氣動力學#103685
110年 · #103685
110年 - 110 高等考試_三級_氣象:大氣動力學#102397
110年 · #102397
109年 - 109 高等考試_三級_氣象:大氣動力學#88749
109年 · #88749