阿摩線上測驗
登入
首頁
>
教甄◆理化專業
> 98年 - 98北縣教甄理化試題#21252
98年 - 98北縣教甄理化試題#21252
科目:
教甄◆理化專業 |
年份:
98年 |
選擇題數:
50 |
申論題數:
0
試卷資訊
所屬科目:
教甄◆理化專業
選擇題 (50)
1. 從高處自由落下的物體,其前半程與後半程落下所需時間之比為 (A) l (B) √2 (C) √2 -1 (D) √2 + 1
2. 在斜角θ之斜坡上,以初速 v0 水平拋出一物體,且重力加速度為 g,則經若干時間後此物落回斜坡上?
複選題
3. 兩條彈簧甲、乙等長,設甲的彈力常數為 10 牛頓∕公分,若將兩者並聯懸吊, 並在其下端施一 200 牛頓的拉力 ,此時彈簧伸長 8 公分,則乙的彈力常數為若干牛頓∕公分? (A) 8 (B) 10 (C) 12 (D) 15
4. 一條 200 公分長的細線,在其下端繫上重量大於 50 牛頓的重物時會將其扯斷。今若將細線對摺,並在摺疊處掛 上 60 牛頓的重物,而用雙手拉住細線之兩端,慢慢往左、右兩邊張開等距,欲使細線不被扯斷,則細線之兩端最 多可被拉開相距幾公分? (A) 120 (B) 140 (C) 150 (D) 160
5. 質量 10 kg 之物體放在水平面上,物體與平面間之動摩擦係數為 0.5,對物體施力 F 為 100 牛 頓,以仰角 53°拉之,如右圖所示,設重力加速度為 10 m∕s
2
,物體自靜止起動後之第 2 秒末速 度量值為若干米∕秒?
(A) 10 (B) 8 (C) 6 (D) 5
6. 某行星以橢圓形軌道繞太陽運行,其近、遠日點的距離比為 1:2,則下列各物理量在近、遠日點對太陽的比值 ,何者為正確? (A) 動量量值比為 1:1 (B) 轉動慣量比為 1:2 (C) 角速度比為 8:1 (D) 向心加速度量值比為 8:1
7. 一顆 10 g 的子彈以 500 m/s 的速度水平運動,穿透一個 1.0 kg 在光滑無摩擦水平面上以 −1 m/s 的速度運動的 木塊。子彈剛穿過木塊時,木塊運動速度為 2 m/s,此時子彈的速度為何? (A) 100 m/s (B) 200 m/s (C) 300 m/s (D) 400m/s
8. 一均勻的木棍其重量為 80 牛頓,斜靠在一個沒有摩擦的牆上,如圖所示; 則牆施給 P 點的力矩大小為何?
(A) 20 N•m (B) 60 N•m (C) 120 N•m (D) 180 N•m
9. 一場大聲公的比賽中,參賽者中被測出最高的是 120 分貝,而最低的讀值是100 分貝,則最高對最低的聲音強度比為 (A) 6:5 (B) 100:1 (C) 20:1 (D) 10:1
10. 一閉管壓力計,在大氣壓力為 75 cm-Hg 時,開口端水銀柱比閉口端水銀柱高 20 公分,且閉口端的空氣柱高 30 公分。若將此壓力計之開口端接至一待測壓力的系統時,發現開口端水銀柱較閉口端高 10 公分,則此待測系統的 壓力為何? (A) 94 cm-Hg (B) 104 cm-Hg (C) 114 cm-Hg (D) 124 cm-Hg
11. 一個裝有 20℃、5 公斤水的平底鍋,在瓦斯爐上加熱 10 分鐘後水的溫度是 30℃。如果水再被加熱 5 分鐘,則溫 度會成為多少? (A) 35 ℃ (B) 40 ℃ (C) 45 ℃ (D) 50 ℃
12.光滑水平地面上有相互重疊甲乙兩木塊,其質量各為2m與m。起 初,甲木塊靜止在水平地面上,而乙木塊在甲木塊上之以初速v向 右開始運動,且乙木塊一直在甲木塊上,不會掉落。因此甲木塊 速率漸增,而乙木塊速率漸減。下圖紀錄甲乙兩者的速率隨時間 的變化,已知甲乙兩木塊之間的動摩擦係數為μ
k
,則兩者達到相 同末速率的時間 t 為
13. 當質點 m 離開球面時,Cosθ為 (A) 0.7 (B) 2/3 (C) 1/2(D) 0
14. 當質點 m 離開球面時,其速度 v
c
為
15. 一小提琴的琴弦,張緊於相隔 0.60 m 的兩固定端點之間,其線密度為 5.4×10
-5
kg/m,基頻為 440 Hz。則弦之 張力為 (A) 5 N (B) 10 N (C) 15 N (D) 20 N
16. 一游泳池,水深 2.0 m,若泳池盛水後,問池底與水面所受之壓力差為若干? (A) 2.0×10
4
N/m
2
(B) 4.0×10
4
N/m
2
(C) 6.0×10
4
N/m
2
(D) 8.0×10
4
N/m
2
17. 無窮長直導線,半徑 a,電流 I 均勻分佈在導線內,當 r>a 時,磁場 B(r)=? (A) μ
0
.I/4πr
2
(B) μ
0
.I/2πr (C) μ
0
.I (D) μ
0
.I.r/(4πa
2
)
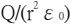
18. 均勻導電金屬帶電球殼半徑R(厚度很小可忽略),帶電量Q,當距離球心r(r<R),電場E(r)=?(A)
(B)0(C)
(D)
19. 有兩個電阻(電阻大小分別為 R
1
與 R
2
)並聯接上電壓為 V 的電池,R
1
與 R
2
電阻的損耗功率分別為何? (A)都是 V
2
/(R
1
+R
2
) (B)都是 V
2
(R
1
+R
2
)/(R
1
R
2
) (C)V
2
/R
2
、V
2
/R
1
(D)V
2
/R
1
、V
2
/R
2
20. 有一帶電粒子,質量=m,帶電量=q,在均勻磁場 B 下進行半徑為 R 的等速率圓周運動,試問其進行圓周運動 的速率 V=? (A)qBm/R (B)BmR/q (C)qRm/B (D)qBR/m
21. 有一研究人員站於哈伯望遠鏡(凹面鏡:焦距=5 公尺) 前 2.5 公尺處, 試問成像於何處?虛像或實像? 放大倍率=? (A)鏡前 5m 處,實像,2 倍(B)鏡後 5m 處,虛像,2 倍(C)鏡後 10m 處,實像,4 倍(D)鏡後 10m 處,虛像,4 倍
22. 已知真空中有一電磁波,波速為光速 C、波長 λ、頻率 f,試問在介質中(折射率=n),波長=? (A) n
2
λ (B) λ/n
2
(C)nλ (D) λ/n
23. 有一雙狹縫相距 0.075mm 距離屏幕 3 m 雷射光波長為 633 nm 試問第三亮紋距中心點多遠? (A)7.6 cm (B) 2.6 cm (C) 5.2 cm (D)12 mm
24. 在光電效應實驗中,已知一陰極板的功函數=2.3 eV,此陰極板受到 4.3 eV 的光子照射,試問激發出的電子最 大動能為多少? (A)3.2×10
-19
J (B) 2.2×10
-19
J (C) 3.9×10
-19
J (D) 7.6×10
-19
J
25. 在氫原子中有一電子由 n=3 落到 n=2 狀態,同時釋放一個光子,試問該光子的能量=? (A)2.2 eV (B)1.6 eV (C)1 eV (D) 1.9 eV
26. 已知亞佛加厥數為 6.02×10
23
。下列哪一項所含氫原子的原子數最多? (A) 3.01×10
23
氫分子的氫原子 (B) 6.02×10
23
個氫原子 (C) 17 克氨(NH
3
)所含的氫原子 (D) 8 克甲烷(CH
4
)所含的氫原子
27. 若碳氫化合物中的一個氫原子被碘原子取代,下列何者可以產生兩種含碘的衍生物? (A) 苯 (B) 正丁烷 (C) 2,2-二甲基丙烷 (D) 甲苯
28. 氣體反應 N
2 (g)
+ 3H
2 (g)
→ 2NH
3 (g)
,其反應速率方程式 Rate = k[N
2
][H
2
] , 若當 3.0 莫耳 N
2
與 1. 0 莫耳 H
2
之反應速率為 R。則在同溫同壓下加入 2.0 莫耳 He,其反應速率應為? (A) R (B) 0.25R (C) 0.44R (D) 2.3R
29. 某元素(X)之最穩定離子可與氯離子形成 XCl
3
。若此離子之質量數為 89,電子數為 39,則此元素的中子數為? (A) 47 (B) 48 (C) 49 (D) 50
30. 在下列反應式中加入 H
+
和 H
2
O,完成反應式係數平衡後,反應式中最小整數係數總合是多少? MnO
4
-
+ Br
-
→ Mn
2+
+ Br
2
(在酸性水溶液中) (A) 16 (B) 29 (C) 43 (D) 17
31. 若溶液中含有 Ba
2+
, Ag
+
, Fe
3+
三種陽離子,依序加入下列那三種不同的溶液,可將此三種離子沉殿分離,然 後再分析確認? (A) 硫酸鈉、氫氧化鈉、稀鹽酸 (B) 硫酸鈉、稀鹽酸、氫氧化鈉 (C) 氫氧化鈉、硫酸鈉、稀鹽酸 (D) 硝酸鈉、氫氧化鈉、硫酸鈉
32. 試問原子軌域在空間中的方位與下列何種量子數相關連? (A) 主量子數 (n) (B) 角動量量子數 (l) (C) 磁量子數 (m) (D) 自旋量子數 (s)
33. 依據分子軌域理論, Cl
2
+
分子的鍵數(bond order)為下列何者? (A) 0.5 (B) 1 (C) 1.5 (D) 2
34. 在定溫下,將 1.0 M 醋酸溶液稀釋成 0.1 M, 下列何者的值會減小? (A) 導電度 (B) [OH
-
] (C) 解離常數 (D) pH
35. 辛烷值用以表示汽油抗震爆的指標,下列何者敘述是不正確的? (A) 辛烷值高表示汽油抗震爆高 (B) 正庚烷的辛烷值為 0 (C) 異辛烷的辛烷值為 100 (D) 辛烷值最高值為 100
36. 下列何種聚合物是屬於縮合聚合? (A) 保麗龍 (B)鐵氟龍 (C)塑膠 (D)達克龍
37. 試問下列何種錯合物存在有異構物? (A) [Co(H
2
O)
4
Cl
2
]
+
(B) [Pt(NH
3
)Br
3
]¯ (C) [Pt(en)Cl
2
] (D) [Pt(NH
3
)
3
Cl]
+
)
38. 下列四組分子中,那一組分子之立體結構不相似? (A) NH
3
, P
4
(B) C
2
H
2
, BeF
2
(C) CS
2
, OF
2
(D) H
2
O, SO
2
複選題
39. 同溫同壓下,下列何者選項與 30 毫升的甲醇分子(CH
3
OH)含有相同的分子數目? (A) N
2
10 毫升 (B) CO 60 毫升 (C) CH
4
30 毫升 (D) CO
2
15 毫升
40. 下列各組離子或原子中,哪組基態的電子組態是不相同的? (A) 11Na
+
與 9F
-
(B) 24Cr 與 26Fe
2+
(C) 29Cu
+
與 30Zn
2+
(D) 8O
2
-
與 9F
-
41. 鉛可以從銀離子水溶液中將銀置換出來,其反應方程式如下 Pb
(s)
+ 2Ag
+
(aq)
→ Pb
2+
(aq)
+ 2Ag
(s)
若已知在 298K 溫度下,該反應的平衡常數 K,取對數後 logK=31.42, 試問該氧化反應的標準電池電動勢 (E0 Cell=?) (A) 0.82 V (B) 0.75 V (C) 0.93 V (D) 1.12 V
42. 下列何者有機化合物具有幾何異構物? (A) 丙烯 (B) 1-丁烯 (C) 1,1-二氯乙烯 (D) 1,2-二氯乙烯
43. 試問下列何種光譜儀器最常用來偵測分子中電子軌域的躍遷? (A) FTIR (B) UV (C) Micro-wave (D) NMR
44. 試問下列化合物, 何者具有鏡像異構物(optical isomers)? (A) CH
4
(B) CH
2
Cl
2
(C) CH
3
CHCl
2
(D) CH
3
CHClF
45. 在 3A 族(硼族)各元素中,唯一能與 H、N、C、O 等元素形成鍵結且皆是共價鍵結的元素是 (A) B (B) Al (C) G
a
(D) Tl
46. 已知大氣層中臭氧的反應, O
3(g)
+ O
(g)
→ 2O
2(g)
, 其正反應的活化能為 19 kJ/mol, 正反應的反應熱 ΔH = -392 kJ/mol, 試問該逆反應的活化能為 (A) 373 kJ/mol (B) 430 kJ/mol (C) 411 kJ/mol (D) 無充分資料可以求得
47. 下列那一位科學家是第一位提出氫原子電子只能存在或具備某些特定能量? (A) Planck (B) Einstein (C) Bohr (D) de Bloglie
48. 已知氫原子的游離能為 13.6 eV, 試計算若將其電子從 2p 軌域游離所需能量為 (A) 290 kJ/mol (B) 328 kJ/mol (C) 656 kJ/mol (D) 983 kJ/mol
49. 下列那種元素是組成城市空氣中常見的煙霧 (smog) 及酸雨? (A) N (B) C (C) S (D) Cl
50. 下圖中化合物正確命名應為下列何者?
(A)對-乙基甲基環己烷 (B) 對-乙基甲基苯 (C) 1-甲基-5-乙基環己烷 (D) 1-乙基-3-甲基環己烷
申論題 (0)
相關試卷
114年 - 114 高雄市市立國民中學教師聯合甄選:理化#129022
114年 · #129022
114年 - 114-2 新竹市國民中學教師聯合甄選初試試題:理化科#128192
114年 · #128192
114年 - 114 臺南市市立國民中學_正式教師聯合甄選試題:理化專門科目#128068
114年 · #128068
114年 - 114 桃園市國民中學新進教師聯合甄選試題:理化科#127855
114年 · #127855
114年 - 114 臺北市市立國民中學_正式教師聯合甄選試題:理化科#127441
114年 · #127441
114年 - 114 新北市立國民中學_教師聯合甄選試題:資優理化科#127356
114年 · #127356
114年 - 114 新北市立國民中學_教師聯合甄選試題:理化科#127217
114年 · #127217
114年 - 114 國立嘉科實驗高級中學_國中部教師甄選試題:理化科#126863
114年 · #126863
114年 - 114-1 新竹市立建功高中正式教師甄選試題:國中理化#126098
114年 · #126098
113年 - 113 臺南市市立國民中學_正式教師聯合甄選試題:理化專門科目#120957
113年 · #120957