阿摩線上測驗
登入
首頁
>
工程數學(應用數學, 線性代數、微分方程、複變函數與機率)
> 98年 - 98 地方政府特種考試_三等_電力工程、電子工程:工程數學#36041
98年 - 98 地方政府特種考試_三等_電力工程、電子工程:工程數學#36041
科目:
工程數學(應用數學, 線性代數、微分方程、複變函數與機率) |
年份:
98年 |
選擇題數:
20 |
申論題數:
7
試卷資訊
所屬科目:
工程數學(應用數學, 線性代數、微分方程、複變函數與機率)
選擇題 (20)
1 下列何者為微分方程式 y
2
dx+ (3xy − 4y
3
)dy = 0 之通解?其中 c 為任意實數。 (A) y = 2x
2
/ 5 + x + c / x (B) y = x / 5 + c / x (C) x = y / 5 + c / y (D) x=4y
2
/ 5 + c / y
3
2 若 y
1
= e
px
cos(qx) 是一齊次(homogeneous)微分方程式之一解,則此微分方程式可能是: (A) y′′ − 2 py′ + q
2
y = 0 (B) y′′ − 2 pqy′ + q
2
y = 0 (C) y′′ − 2 pqy′ + ( p
2
+ q
2
) y = 0 (D) y′′ − 2py′ +( p
2
+ q
2
)y =0
3 試求2xyy′ = y
2
− x
2
之解,其中 c 為任意實數。 (A) x
2
+ y
2
= c (B) x / y + y / x = c (C) y
2
/ x + x = c (D) x
2
/ y + y = c
4 有一個位置向量函數
,計算∫∫
S
之值,其中 S 為立體 V = {(x, y,z):| x |≤1,| y |≤ 1,| z |≤1} 的表面。 (A) 10 (B) 20 (C) 30 (D) 40
5 計算
之值,其中 C 表 xy 平面上任意一個簡單封閉的曲線。 (A) 0 (B) 1 (C) 2 (D) 3
6 已知一個向量位置函數
,求
之值為何? (A) 3 (B) 2 (C) 1 (D) 0
7 下列何組之向量線性組合(linear combination)可構成矩陣
的映零空間(null space)? (A){(2,−2,0,−2)
T
} (B){(−1,1,0,1)
T
,(−1,2,1,0)
T
} (C){(−1,2,−1,0)
T
,(−1,1,0,1)
T
} (D){( −2,1)
T
,(1, −1)
T
}
8 若 f (t)之拉氏轉換(Laplace transform)為 F(s) = 5/[s(s
2
+ s + 2)],則
為: (A)5 / 4 (B)5 / 2 (C) 0 (D)∞
9 試求 f (t) = te
−3t
sin 2t 之拉氏轉換(Laplace transform)F(s) =? (A) F(s) = 4 /[(s + 3)
2
+ 4]
2
(B) F(s ) =4(s +3)/[(s +3)
2
+4] (C) F(s) = 4(s + 3)/(s
2
+ 6s +13)
2
(D) F(s )= 4 /[( s +3)
2
+4]
10 令
,則
之拉氏轉換為何?
11 下列敘述何者正確? (A)如果矩陣 B、C 皆屬於 R
n×n
,並且對於所有x x∈ R
n
,Bx = Cx 皆成立,則 B 不一定要等於 C (B)如果矩陣 A 屬於 R
n×n
,並且對於所有x∈ R
n
,Ax = 0 皆成立,則 A 不一定等於零矩陣 (C)如果矩陣A為對稱(symmetric)且非奇異(nonsigular),則A
-1
也是對稱矩陣 (D)一個線性系統如果方程式的個數小於變數的數目時,則此系統會有無窮多(infinite)解
12 定義函數 f (t) 的傅利葉轉換(Fourier transform)為
,其中 i = √−1 。定義脈衝函數δ (t) 如下: t ≠ 0時δ (t) = 0 ;同時
。 求δ (t)的傅利葉轉換為何? (A)ωδ (ω) (B)δ (ω) (C) δ (ω)/ω (D) 1
13 令 p(x)為次數(degree)小於 n 的多項式(Polynomial); f (x) , x ∈[0,1]代表連續函數;L 表示從一個向量空間映至 (mapping)另一個向量空間的運算子(operator)。下列何者不是線性轉換(linear transformation)? (A) L( p(x)) = p(x) − xp(x) + x
3
p′(x),
(B) L( f ) = [ f (0) + f (1)]/ 3 (C) L( p(x)) = x + p(x) (D) L(A) = C
2
A,A∈R
n×n
,C∈ R
n×n
14 定義函數 f (t)的傅利葉轉換(Fourier transform)為
,其中 i = √−1 。給定一個函數g(t) 定義如下:
。求 g(t)的傅利葉轉換為何?
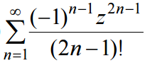
15 i = √−1 ,有關數列(sequence)
敘述,下列何者正確? (A)有界,收斂 (B)無界,發散 (C)有界,發散 (D)無界,收斂
16 假設 c 是個複數(complex number),也是常數(constant),並且函數 f (z)的導數
存在,則
=?
17 求解
,其中 C 表示| z |= 5 的圓(circle)且逆時鐘方向(counterclockwise)。 (A)i 4π (B)− i 2π (C)i 10π (D) 0
18 利用變換變數v = x, z = 2x − y 可將偏微分方程式u
xx
+ 4u
xy
+ 4u
yy
= 0轉換為:(其中
) (A)u
vv
= 0 (B) u
zz
= 0 (C)u
vz
= 0 (D)u
vv
+ u
zz
= 0
19 給定一個連續隨機變數 X,它的機率密度函數為
,則 K 之值為何? (A) 0.65 (B) 0.70 (C) 0.75 (D) 0.80
20 下列那一個函數可以做為一個隨機變數 X 的累積分佈函數(CDF, cumulative distribution function)?
申論題 (7)
一、求當 y(0) = 3 y ′(0) = −3, y ′′(0) = −47時, y ′′′+3y ′′ + 3y′ + y= 30e
−x
之解。(15 分)
【已刪除】⑴試求Ax=
的解 x。(7 分)
⑵試問矩陣 A =?(8 分)
【已刪除】⑴
(5 分)
【已刪除】⑵
(5 分)
⑴求 Cov[X,Y],即 X 與 Y 的共變異值(covariance)為何?(3 分)X 與 Y 是否不相關聯 (uncorrelated)?(2 分)
⑵ X 與 Y 是否獨立(independent)?(5 分)
相關試卷
114年 - 114 專技高考_電機工程技師:工程數學(包括線性代數、微分方程、複變函數與機率)#133679
114年 · #133679
114年 - 114 專技高考_電子工程技師:工程數學(包括線性代數、微分方程、向量分析、複變函數與機率)#133677
114年 · #133677
114年 - 114 調查特種考試_三等_電子科學組:工程數學#129578
114年 · #129578
114年 - 114 國家安全情報特種考試_三等_電子組(選試英文):工程數學#127780
114年 · #127780
113年 - 113 專技高考_電子工程技師:工程數學(包括線性代數、微分方程、向量分析、複變函數與機率)#123976
113年 · #123976
113年 - 113 專技高考_電機工程技師:工程數學(包括線性代數、微分方程、複變函數與機率)#123971
113年 · #123971
113年 - 113 調查特種考試_三等_電子科學組:工程數學#122110
113年 · #122110
113年 - 113 身心障礙特種考試_三等_電力工程:工程數學#119517
113年 · #119517
112年 - 112 地方政府特種考試_三等_電力工程、電子工程:工程數學#118376
112年 · #118376
112年 - 112 專技高考_電機工程技師:工程數學(包括線性代數、微分方程、複變函數與機率)#117639
112年 · #117639