阿摩線上測驗
登入
首頁
>
高職◆商業概論
> 98年 - 98 經濟部所屬事業機構_新進職員甄試_機械:1.熱力學 2.流體力學#99600
98年 - 98 經濟部所屬事業機構_新進職員甄試_機械:1.熱力學 2.流體力學#99600
科目:
高職◆商業概論 |
年份:
98年 |
選擇題數:
0 |
申論題數:
20
試卷資訊
所屬科目:
高職◆商業概論
選擇題 (0)
申論題 (20)
(1)冷卻水質量流率(kg/s)?
(2)蒸汽至冷卻水的熱傳率(KJ/s)?(冷水Cp=4.18kJ/kg.K)
二、證明在水的溫熵圖中,位於過熱區之等容線斜率大於等壓線斜率。
(1)目前許多新型的水蒸汽動力廠,其鍋爐工作壓力在超臨界壓力以上,請說明其原因及缺 點?
(2)何謂絕熱燃燒溫度(ditccomustimtre相同燃料的絕熱燃燒溫度並非單 其影響因素為何?
(3)何謂燃料的热值(heating value offuel?高熱值(H.H.V)和低熱值(L.H.V)有何不同?
(4)何謂熵增原理(increase ofentropyprincle)
(5)熱機(heatengine、冷凍機(refrigerator热泵(heatpump),在功能上,有何不同?
(1)若其y方向速度為v=x
2
-y
2
,則其x方向速度為何?
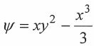
(2)若其流線函數
,則速度勢能函數中φ=?
(1)潤濕周長(wettedperimeter)
(2)水力半徑(hydraulic radius)
(3)渠底坡度(bottom slope)
(4)此為次臨界流(subcritical flow )或超臨界流(supercriticalflow)
[ Manning equation :
,其中n=0.02,A為流動面積,
為
水力半徑,P為潤濕周長,
為渠底坡度]
(1)何謂能量線(Energy line,EL)、水力梯度線(Hydraulic grad line ,HGL)?
(2)何謂d'Alembert's paradox?
(3)由模型之物理系統來預測原型在某方面的物理特性時,若模型和原型欲獲得完全相似性 ,需滿足那些條件?
(4)試述Navier-Stokequation每一項的物理意義,
(5)敘述因次分析(dimensional analysis)對流體力學研究之用
(6)敘述使用重複變數法mhofrptvaries進行因次分析的步驟
相關試卷
103年 - 宜蘭高商103-2-3 高1商業概論_綜二34應英+國資應#28143
103年 · #28143
103年 - 宜蘭高商103-2-1 高1商業概論_綜二34應英+國資應#28073
103年 · #28073
103年 - 宜蘭高商103-1-3 高1商業概論_綜二34應英+國資應#28072
103年 · #28072
103年 - 宜蘭高商103-2-2 高1商業概論_綜二34應英+國資應#28071
103年 · #28071
103年 - 宜蘭高商103-1-2 高1商業概論_綜二34應英+國資應#27971
103年 · #27971
103年 - 宜蘭高商103-2-2 高1商業概論_商資一#27961
103年 · #27961
103年 - 宜蘭高商103-2-1 高3商業概論_綜34國資#27941
103年 · #27941
103年 - 宜蘭高商103-1-3 高1商業概論_商資一#27888
103年 · #27888
103年 - 宜蘭高商103-1-2 高3商業概論_綜34國資#27871
103年 · #27871
103年 - 宜蘭高商103-1-3 高3商業概論_綜34國資#27869
103年 · #27869