所屬科目:高中指考◆數學乙
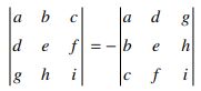
1.關於行列式的性質,下列哪一選項恆成立? (A)(B)(C)(D)(E)
4.關於指數函數或對數函數圖形的敘述,下列哪些選項是正確的? (A)y=2010x的圖形恆在 y=99x的上方 (B)y = log99x 與 y =99x 兩函數的圖形對稱於直線 y = x (C) y= log99 x 與兩函數的圖形對稱 於x軸 (D)y= log2010(x2-10x+33)的圖形與x軸相交
A.某商店進一批水果,平均單價為每個50元,標準差為10元。今每個水果以進價的1.5倍為售價出售,則水果平均售價為每個__⑤⑥__元,標準差為__⑦⑧__元。
B.某公司委託經銷商銷售定價a元的產品,雙方言明,若經銷商減價25元賣出,則可得賣價的8%為佣金, 若減價125元賣出,則可得賣價的2%為佣金;已知減價25元的佣金是減價125元佣金的 5 倍,則定價a =__⑨⑩⑪__ 。
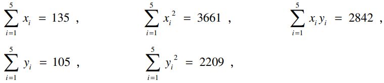
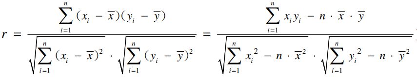
E.調查某國家某一年5個地區的香煙與肺癌之相關性,所得到的數據為 (xi,yi) i=1,2,3,4,5,其中變數 X表示 每人每年香煙消費量(單位:十包 ),Y表示每十萬人死於肺癌的人數。若已計算出下列數值 :則 X 與 Y的相關係數 r = 0 . 。 (參考說明:相關係數)
F.已知一個線性規劃問題的可行解區域為四邊形ABCD及其內部,其中AB(4,0),(8,10), CD(6,14),(2,6)為坐標平面上的四個點。若目標函數 k=ax+by+ 32(a , b為實數)在四邊形 ABCD 的邊界上一點 (4,10) 有最小值 18, 則 a =。
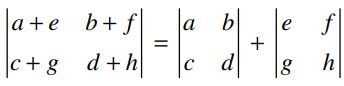
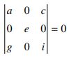
二、小惠有一台自行車,平時用一副四位數密碼的號碼鎖鎖住。有一天,志明向她借用這台自行車,她答應借用,但只告訴志明號碼鎖的密碼 abcd符合以下二階方陣的等式:
志明卻一直無法解出正確的密碼,而不能使用這台自行車。 請你 (妳 )幫忙志明求出這副號碼鎖的正確密 碼。(12 分 )