阿摩線上測驗
登入
首頁
>
研究所、轉學考(插大)◆物理化學
> 99年 - 99 淡江大學 轉學考 物理化學#53872
99年 - 99 淡江大學 轉學考 物理化學#53872
科目:
研究所、轉學考(插大)◆物理化學 |
年份:
99年 |
選擇題數:
0 |
申論題數:
7
試卷資訊
所屬科目:
研究所、轉學考(插大)◆物理化學
選擇題 (0)
申論題 (7)
(a) Heating at constant volume followed by cooling at constant pressure.
(b) Isothermal compression.
(c) Adiabatic compression followed by cooling at constant volume.
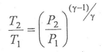
【已刪除】2. An ideal gas with constant heat capacities, C
v
and C
p
, undergoing a reversible adiabatic process from State 1 of T
1
and P
1
to State 2 of T
2
and P
2
. Prove that
whereγ = C
p
/C
v
. (20 points)
【已刪除】3. The decomposition of urea in 0.1 M HC1 occurs according to the reaction
The first-order rate constant for this reaction was measured as a function of temperature, with the following results:
Calculate the activation energy and derive an expression of the rate constant as function of temperature. (30 points)
【已刪除】(a) Calculate the energies of the two states of lowest energy for an electron in a one-dimensional box of length 2.0
. (10 points)
【已刪除】(b) What is the probability that the electron is within 0.5
of the center of the box in the lowest energy state? (10 points)
[Hint] The probability of finding the electron in a finite volume of space is obtained by integration over the volume:
and the wavefunction for a particle in a box is:
相關試卷
114年 - 114 台灣聯合大學系統_碩士班招生考試_化學類:物理化學#138239
114年 · #138239
113年 - 113 台灣聯合大學系統_碩士班招生考試_化學類:物理化學#122381
113年 · #122381
110年 - 110 國立臺灣科技大學_碩士班招生試題_材料科學與工程系(甲組):物理化學#105493
110年 · #105493
110年 - 110 國立清華大學碩士班考試入學試題_生醫工程與環境科學系/丙組(應用化學組):物理化學#104980
110年 · #104980
110年 - 110 國立清華大學碩士班考試入學試題_生命科學院/丙組(計算生物與人工智慧組):物理化學#104956
110年 · #104956
110年 - 110台灣聯合大學系統_碩士班招生考試_化學類:物理化學#104949
110年 · #104949
110年 - 110 高雄科技大學_碩士班招生考試_化學工程與材料工程系:物理化學(乙組)#104402
110年 · #104402
110年 - 110 國立臺北科技大學_碩士班招生考試_化學工程與生物科技系化學工程碩士班(乙組):物理化學#103868
110年 · #103868
110年 - 110 國立臺灣大學_碩士班招生考試_部分系所:物理化學(A)(基礎熱力學與反應動力學)#102143
110年 · #102143
110年 - 110 國立宜蘭大學_碩士班招生考試_化學工程與材料工程學系:物理化學(含熱力學與動力學)#102135
110年 · #102135