所屬科目:研究所、轉學考(插大)-微積分
(1)函數y =cosz 之圖形與三直x=-a、x=0、x=a(0<a<π)的交點分別為A、 B、C,P為三角形 ABC 之外心(外接圓圓心,Q為三角形ABC之內心(內切圆圓心。當a→0+,點P的極限位置座標為__ (1a)__ ;Q的極限位置座標__ (1b)__。
(4)若函數f(x)滿足方程式f(x)=,則f(x)可具體表成__(4)__。
(5)若n為正整數,a,b≠0,則積分=__(5)__。
(6)極座標曲線的全長為__(6)__。
(7)求極限之值。
(8)令E為包含直線及點(1,0,0)的平面,E上有一以(0,-1,1)為圓心、半徑為1之圓C。試問點P(0,0,-3)到圆C上那一點的距離最長?到圓C上那一點的距離最短?
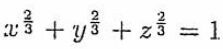
(9)空間曲面圍成一區域,試求該區域之體積。
(b)令C為由(1,1,1)到(2,2,1)的線段,試求線積分之值。