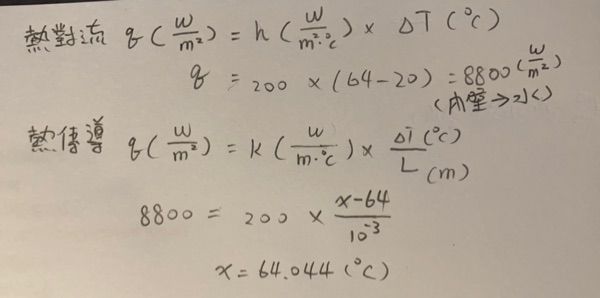
1.有一平底鋁合金水壺,底厚1 mm,導熱係數200 W /(m℃),內裝20℃的冷水,置於電爐上。
如測得壺底內壁的溫度為64℃,壺底內壁對於冷水的對流傳熱係數為200 W /(m2℃),則壺底
外壁的溫度為多少℃?
(A)64.044℃
(B)68.088℃
(C)84.044℃
(D)88.088℃
答案:登入後查看
統計: A(271), B(69), C(73), D(17), E(0) #738123
統計: A(271), B(69), C(73), D(17), E(0) #738123
詳解 (共 1 筆)
#5320792

12
0