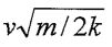
1. A block of mass m is initially moving to the right on a horizontal frictionless surface at a speed v. It then compresses a spring of spring constant k. At the instant when the kinetic energy of the block is equal to the potential energy of the spring, the spring is compressed a distance of:
(A)
(B)(1/2)mv²
(C)(1/4)mv²
(D)mv²/4k
(E)
答案:登入後查看
統計: 尚無統計資料
統計: 尚無統計資料