阿摩線上測驗
登入
首頁
>
教甄◆數學
>
114年 - 114 教育部受託辦理_公立高級中等學校教師甄選試題:數學科#126933
> 試題詳解
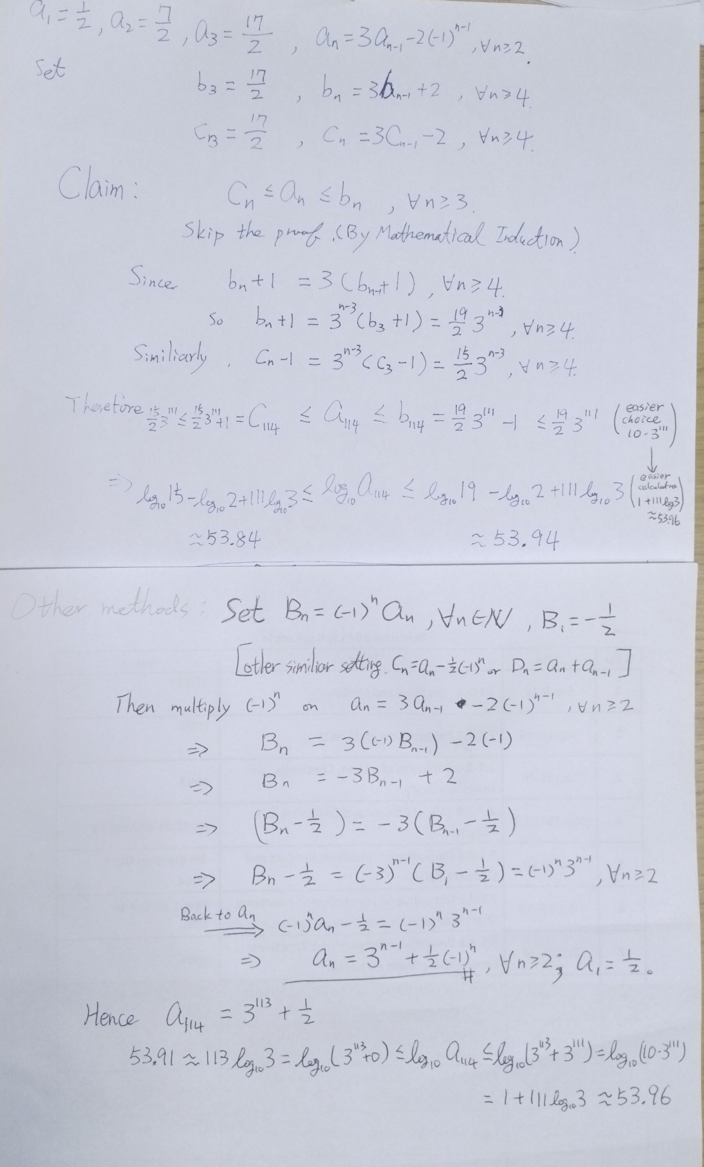
10.給定數列
,試問
是幾位數?
(A)54
(B)55
(C)56
(D)57
答案:
登入後查看
統計:
A(2), B(0), C(1), D(2), E(0) #3434923
詳解 (共 2 筆)
I love CCU math
B2 · 2025/12/09
#7214014
1
0
MoAI - 您的AI助手
B1 · 2025/09/20
#6758192
當然可以!以下是針對考試題目「給定數列[...
(共 851 字,隱藏中)
前往觀看
0
2
相關試題
11.若,且滿足f(x+2)=f(x),則y=f(x)圖形與圖形的交點有幾個?(A)8(B)10(C)12(D)14
#3434924
複選題二、複選題 12.下列有關△ABC的敘述,試選出正確的選項。(A)若0<tan A tanB<1,則△ABC為鈍角三角形(B)若sin A+cos A=,則△ABC為鈍角三角形(C)若sin A=且cos B=,則△ABC為銳角三角形(D)若sinA=且sinB=,則△ABC為銳角三角形
#3434925
複選題13.下列有關函數極限的敘述,試選出正確的選項。(A)設非零函數f(x)滿足極限存在,則極限必定不存在(B)設非零函數f(x)滿足極限存在,則極限必定不存在(C)設非零函數f(x)滿足極限存在,則極限必定存在(D)設[x]為不大於實數x的最大整數,且非零函數f(x)滿足極限存在,則極限必定存在
#3434926
複選題14.將個3個乘開,得一n位數,請問下列哪些選項是正確的?(A)n=199(B)個位數字為8(C)最高位數字為1(D)由左向右數來第100位數為7
#3434927
複選題15.三次曲線y=x3+ax2+1,若由原點可作三條相異切線,試問實數a的值可以是下列何者?(A)π(B)√2025(C)log114(D)
#3434928
複選題16.已知兩等比數列,若將兩數列之所有數字混合後並由小至大重新排列後得到一個新的數列,請選出正確的選項。(A)數列中的各項均相異(B)(C)(D)若,則h=14
#3434929
複選題17.坐標平面上,圓C為三角形ABC的內切圓,若圓心為O且已知A(2,4)−,:x+y-2=0,:x-3y-6=0,則下列敘述何者正確?(A)A點對的對稱點A'必定在上(B)A點對的對稱點A'為A'(8,2)−(C):2x+7y=2(D)圓C的方程式為x2+y2-6x+2y+8=0
#3434930
1. 瑞士政府於2024年九月正式決議重新畫定與義大利之間的國界。此決議是源於近年來自然邊界出現了變化,請問最可能是下列哪一情況? (A)地殼變動導致山脊(線)改變 (B)地殼變動導致河谷(線)改變 (C)冰川融化導 致山脊(線)改變 (D)冰川融化導致河谷(線)改變。
#3434931
2. 咖啡因是天然的「除蟲劑」,會讓蝸牛心跳變慢、讓蛞蝓身體不協調扭曲,許多天蛾、蠹蟲的幼蟲只要碰到咖啡因就會失去生氣。許多植物種子都含有咖啡因這種生物鹼:咖啡樹、可可、可樂果和茶葉、瑪黛(冬青屬植物)等,這些都是人們喜歡的提神飲料。請分析這些植物生長的自然環境具有下列何種特色,促使它們發展出 含有咖啡因成分的種子? (A)夏雨集中,多囓齒類動物 (B)冬雨夏乾、晴日多雨日少 (C)高溫多雨,物種多樣性高 (D)冬寒而長,夏涼且短,風勢強勁。
#3434932
3. 圖(一)為民國113年臺灣本島各縣市扶養比的數據資料,請問甲、乙、丙、丁依序最可能哪些縣市? (A)臺北市、嘉義縣、新竹市、桃園市 (B)嘉義縣、台北市、桃園市、新竹市 (C)嘉義縣、桃園市、臺北市、新竹市 (D)新竹市、嘉義縣、桃園市、臺北市。
#3434933
相關試卷
115年 - 115 -1 國立南科國際實驗高級中學_教師甄選試題:高中數學科#140146
2026 年 · #140146
115年 - 115 高雄市立高雄高級中學_正式教師甄選試題︰數學科#140111
2026 年 · #140111
115年 - 115 臺北市公立國民小學教師聯合甄選初試基礎類科知能試題:數學#139894
2026 年 · #139894
115年 - 115 教育部受託辦理公立高級中等學校教師甄選試題:數學科#139603
2026 年 · #139603
115年 - 115-1 國立彰化高級中學_教師甄選試題:數學科#139364
2026 年 · #139364
115年 - 115 臺北市立南港高級中學_正式教師甄選_高中數學科#139341
2026 年 · #139341
115年 - 115-1 新北市立板橋高級中學_正式教師甄選試題:數學科#139339
2026 年 · #139339
115年 - 115-1 臺北市立南湖高級中學_正式教師甄選試題:數學科#139253
2026 年 · #139253
115年 - 115 國立屏東大學_各師資類科教育學程甄選試題:數學#139246
2026 年 · #139246
115年 - 115 臺北市立陽明高級中學正式教師甄選試題:高中數學科#139228
2026 年 · #139228