所屬科目:教甄◆數學
1.設為一等比數列。已知前十項的和為a1+a2+a3+...+=60個偶數項的和為a2+a4+a6+a8+=40,試選出首項1a的正確範圍。(A)0.05≤a1≤0.06(B)0.06≤a1≤0.07(C)0.07≤a1≤0.08(D)0.08≤a1≤0.09
2.同時擲四顆相同的公正骰子,已知每次擲骰子所出現點數的情況皆獨立,直到四顆骰子的點數乘積為完全立方數時才停止擲骰子,則投擲次數的期望值最接近下列哪一個正整數?(A)19(B)20(C)21(D)22
3.設f(x)=−cos2x-√3sin2,且,試問y=g(x)的圖形與x軸的交點個數。(A)1(B)2(C)3(D)4
4.一副撲克牌原有52張牌,不小心遺失了1張(假設每種花色遺失的機率都是),由剩下的51張任取2張。求所取2張都是紅心的條件下,遺失的那一張也是紅心的條件機率為下列何者?(A)(B)(C)(D)
5.令f(x)=x(x2+1)(x3+x+2),試問有多少個實數a滿足?(A)1個(B)2個(C)3個(D)4個
6.已知的展開式中,各項係數和為4096,將展開式中(n+1)項重新排列,試問整數次方項不相鄰的機率為何?(A)(B)(C)(D)
7.x,y∈Z,試問之最小值為何?(A)(B)(C)(D)
8.若線性方程組的增廣矩陣為,經過矩陣列運算後化成,試選出正確的選項。(A)α=2(B)α=5(C)α=3(D)此線性方程組無解
9.試計算=?(A)0(B)1(C)(D)
10.給定數列,試問是幾位數?(A)54(B)55(C)56(D)57
11.若,且滿足f(x+2)=f(x),則y=f(x)圖形與圖形的交點有幾個?(A)8(B)10(C)12(D)14
二、複選題
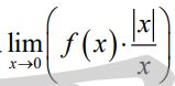
12.下列有關△ABC的敘述,試選出正確的選項。(A)若0<tan A tanB<1,則△ABC為鈍角三角形(B)若sin A+cos A=,則△ABC為鈍角三角形(C)若sin A=且cos B=,則△ABC為銳角三角形(D)若sinA=且sinB=,則△ABC為銳角三角形
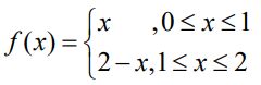
13.下列有關函數極限的敘述,試選出正確的選項。(A)設非零函數f(x)滿足極限存在,則極限必定不存在(B)設非零函數f(x)滿足極限存在,則極限必定不存在(C)設非零函數f(x)滿足極限存在,則極限必定存在(D)設[x]為不大於實數x的最大整數,且非零函數f(x)滿足極限存在,則極限必定存在
14.將個3個乘開,得一n位數,請問下列哪些選項是正確的?(A)n=199(B)個位數字為8(C)最高位數字為1(D)由左向右數來第100位數為7
15.三次曲線y=x3+ax2+1,若由原點可作三條相異切線,試問實數a的值可以是下列何者?(A)π(B)√2025(C)log114(D)
16.已知兩等比數列,若將兩數列之所有數字混合後並由小至大重新排列後得到一個新的數列,請選出正確的選項。(A)數列中的各項均相異(B)(C)(D)若,則h=14
17.坐標平面上,圓C為三角形ABC的內切圓,若圓心為O且已知A(2,4)−,:x+y-2=0,:x-3y-6=0,則下列敘述何者正確?(A)A點對的對稱點A'必定在上(B)A點對的對稱點A'為A'(8,2)−(C):2x+7y=2(D)圓C的方程式為x2+y2-6x+2y+8=0
1.已知空間向量=(4,1,3),=(2,3,1),=(3,7,−1)。若所張成平面E上的正射影為,試求數對(x,y)=_____。
2.如下圖(此為示意圖),△ABC中,∠A與∠C皆為銳角,為底邊的高,已知,試求的最小值=_____。
3.設[x]為不大於實數x的最大整數,試求出的值=_____。
4.數列滿足,若<1.2,問n的最小值=_____。
5.將區間[0,2π]平分成12等分,則函數y=|cos x|在此區間內與x軸所圍成的區域面積之上和=_____。
6.空間向量滿足,且=k≠0。求=_____(以k表示)。
7.試計算(√5+√6+√7)(√6+√7-√5)(√5+√7-√6)(√5+√6-√7)=_____。
8.將10張椅子排成一列,甲,乙,丙,丁,戊5人分成三組入座,三組人數分別為1人,2人,2人,若規定「同組的人相鄰,不同組的人不相鄰」(即各組間有空位)之坐法有_____種。
9.試計算1!×1+2!×2+⋯+114!×114除以2025的餘數=_____。
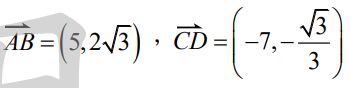
1.如下圖(此為示意圖),四邊形ABCD中,已知,且,試求出四邊形ABCD的面積。
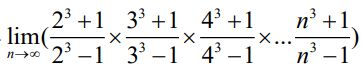
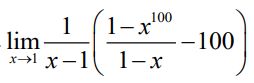
2.計算。
3.試求的最大值與最小值。