阿摩線上測驗 登入

試題詳解

試卷:107年 - 107 經濟部所屬事業機構_新進職員甄試_電機、儀電:1.電路學 2.電子學#92331 | 科目:國營事業◆1.電路學 2.電子學

試卷資訊

試卷名稱:107年 - 107 經濟部所屬事業機構_新進職員甄試_電機、儀電:1.電路學 2.電子學#92331

年份:107年

科目:國營事業◆1.電路學 2.電子學

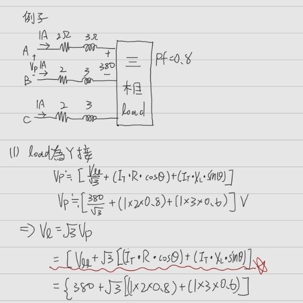
13. 右圖所示之 3ψ3 W 60 Hz 之電路,阻抗5f9f780079435.jpg ,經測得受電端之電壓5f9f78199314b.jpg,負載消耗功率 200 kW,功率因數為 0.8,則此送電端之電壓為多少?

5f9f7941bd787.jpg
(A) 2250 V
(B) 2850 V
(C) 3250 V
(D) 3450 V

正確答案:登入後查看

私人筆記 (共 1 筆)

私人筆記#7457868
未解鎖
Y接 VL=√3*VP IL=IP PF...
(共 236 字,隱藏中)
前往觀看
6
0