阿摩線上測驗
登入
首頁
>
國營事業◆1.電路學 2.電子學
>
96年 - 96 經濟部所屬事業機構_新進職員甄試試題_電力系統、電機、儀電、電信:電路學#137082
> 試題詳解
13. 試求A、B間之諾頓(Norton)等效電路電流源:
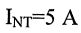
(A)
(B)
(C)
(D)
答案:
登入後查看
統計:
尚無統計資料
相關試題
1. 則電導為: (A) 5 Ω (B) 0.8 - j0.6 Ω (C) 0.16 ひ (D) -0.12 ひ
#3807913
2. 承上題,電納為: (A) 5 Ω (B) 0.8 - j0.6 Ω (C) 0.8 ひ (D) -0.12 ひ
#3807914
3. 承上題,負載阻抗角度為: (A) 37° (B) -37° (C) 53° (D) -53°
#3807915
4. 承上題,負載功率因數為: (A) 0.80 leading (B) 0.80 lagging (C) 0.60 lagging (D) 0.60 leading
#3807916
5. 則A參數為: (A) A=1 (B) A=1+Y₁Z (C) A=1+Y₂Z (D) A=Y1Z+Y2Z
#3807917
6. 承上題,B參數為: (A) B=Z (B) B=(1+Y₁Z)Z (C) B=(1+Y2Z )Z (D) B=(Y1Z+Y2Z)+Z
#3807918
7. 承上題,C參數為: (A) C=Y1+Y2 (B) C=(1+Y₁Z)Y1 (C) C=(1+Y2Z)Y2 (D) C=Y1(1+Y2Z)+Y2
#3807919
8. 承上題,D參數為: (A) D=1 (B) D=1+Y1Z (C) D=1+Y2Z (D) D=(Y1Z+Y2Z)Z
#3807920
9. 承上題, AD - BC = (A) 1 (B) Y1 (C) Y2 (D) Z
#3807921
10. 一阻抗 Z₁=4+j3 Ω與一導納Y2=(3+j4) 串聯,試求: (A) 等效阻抗 Z=7+j7 Ω (B) 等效導納 Y=(7+j7 ) (C) 等效導納 Y=(3.16+j3.88). (D) 等效阻抗 Z=4.12+j2.84 Ω
#3807922
相關試卷
114年 - 114 台灣電力公司_大學及研究所獎學金甄選試題_電驛:電路學、電子學及保護協調#137052
2025 年 · #137052
114年 - 114 經濟部所屬事業機構_新進職員甄試試題_電機、儀電:1 .電路學 2 .電子學#136976
2025 年 · #136976
113年 - 113 經濟部所屬事業機構_新進職員甄試_電機(一)、電機(二)、儀電:電路學、電子學#123749
2024 年 · #123749
112年 - 112 經濟部所屬事業機構_新進職員甄試試題_電機、儀電:1.電路學 2.電子學#116960
2023 年 · #116960
111年 - 111 經濟部所屬事業機構_新進職員甄試_電機(一)、電機(二)、儀電:1.電路學 2.電子學#111368
2022 年 · #111368
110年 - 110 經濟部所屬事業機構_新進職員甄試_電機(一)、電機(二)、儀電:1.電路學 2.電子學#103646
2021 年 · #103646
109年 - 109 經濟部所屬事業機構_新進職員甄試_電機、儀電:1.電路學 2.電子學#92825
2020 年 · #92825
108年 - 108 經濟部所屬事業機構_新進職員甄試_電機、儀電:1.電路學 2.電子學#80841
2019 年 · #80841
107年 - 107 經濟部所屬事業機構_新進職員甄試_電機、儀電:1.電路學 2.電子學#92331
2018 年 · #92331
107年 - 107 中華郵政股份有限公司_職階人員甄試_營運職/電機工程:電路學與電子學#68276
2018 年 · #68276