阿摩線上測驗
登入
首頁
>
國營事業◆1.電路學 2.電子學
>
104年 - 104 經濟部所屬事業機構_新進職員甄試_電機(甲)、儀電、通信:1.電路學 2.電子學#60432
> 試題詳解
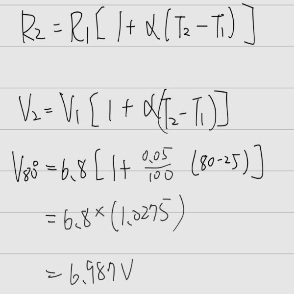
15. 一個齊納二極體(Zener Diode)於25℃時,Vz = 6.8 V,其正溫度係數為0.05 %/℃,求 80℃時 VZ?
(A) 6.855 V
(B) 6.987 V
(C) 6.834 V
(D) 7.252 V
答案:
登入後查看
統計:
A(11), B(171), C(15), D(3), E(0) #1540131
詳解 (共 2 筆)
陳世郡
B1 · 2017/09/05
#2400974
80-25=5555*0.05 =2.7...
(共 39 字,隱藏中)
前往觀看
12
0
gortsoa
B2 · 2025/05/05
#6405494
0
0
相關試題
1. 下列有關理想的R、L、C三元件串聯電路之敘述,何者有誤? (A)發生諧振現象時,電路的阻抗值最小 (B)發生諧振現象之頻率與電阻R無關 (C)電阻R越大,品質因數越高 (D)不一定為低通濾波器
#1540117
2. 下列有關對稱函數的傅立葉級數展開之敘述,何者有誤? (A)偶對稱函數不存在正弦波成分 (B)四分之一波對稱函數僅存在偶次諧波成分 (C)奇對稱函數不存在餘弦波成分 (D)半波對稱函數僅存在奇次諧波成分
#1540118
3. 請求出電壓v(t) = 10cos(10t+30°)的振盪週期T,及與電流i(t) = -5sin(10t-70°)間的相位關係為何? (A) π/5,電壓領先電流10° (B) π/5,電流領先電壓10° (C) π/10,電壓領先電流100° (D) π/10,電流領先電壓100°
#1540119
4. 下列有關平衡三相系統之敘述,何者正確? (A) Δ型接法,相電壓是線電壓的√3倍 (B) Δ型接法,相電流是線電流的√3倍 (C) Y型接法,相電壓與線電壓相等 (D) Y型接法,相電流與線電流相等
#1540120
5. 有一單埠電路,其諾頓等效電流源為4安培,戴維寧等效電壓源為16伏特,請問其諾頓與戴維 寧等效電阻各為何? (A)同為 Ω (B)同為4 Ω (C) Ω與4 Ω (D) 4 Ω與 Ω
#1540121
6. 有一正相序平衡三相電壓源,線電壓Vab = 50√3∠30° V,經由每相線路阻抗為1+j0.5 Ω的傳 輸線,傳送電力到單相阻抗值為9+j7.5 Ω的平衡Δ接負載,請問a相的線電流Ia 為何? (A) 10∠−6.87°A (B) 10∠−36.87°A (C) 10√3∠−36.87° A (D) 10√3∠−6.87° A
#1540122
7. 求的逆拉普拉斯轉換為何? (A) —3e–3t + 2e–4t (B) —2e–3t + 3e–4t (C) 2e–3t — 3e–4t (D) 3e–3t — 2e–4t
#1540123
8. 有一個RL串聯低通濾波器的截止頻率為4 kHz,假設電阻R=10 kΩ,求電感L及24 kHz時的 ︱H(jω)︱為何? (A) 0.40 H,0.164 (B) 0.40 H,0.707 (C) 2.50 H,0.164 (D) 2.50 H,0.707
#1540124
9. 設平衡三相Y形電路的相電壓VBN為220∠-150° V,而且為正相序,求線電壓VBC值為何? (A) 311.13∠-120° V (B) 311.13∠-180° V (C) 381.05∠-120° V (D) 381.05∠-180° V
#1540125
10. 如右圖所示電路,節點電壓Vc為何? (A) 14 V (B) 28 V (C) 56 V (D) 112 V
#1540126
相關試卷
114年 - 114 台灣電力公司_大學及研究所獎學金甄選試題_電驛:電路學、電子學及保護協調#137052
2025 年 · #137052
114年 - 114 經濟部所屬事業機構_新進職員甄試試題_電機、儀電:1 .電路學 2 .電子學#136976
2025 年 · #136976
113年 - 113 經濟部所屬事業機構_新進職員甄試_電機(一)、電機(二)、儀電:電路學、電子學#123749
2024 年 · #123749
112年 - 112 經濟部所屬事業機構_新進職員甄試試題_電機、儀電:1.電路學 2.電子學#116960
2023 年 · #116960
111年 - 111 經濟部所屬事業機構_新進職員甄試_電機(一)、電機(二)、儀電:1.電路學 2.電子學#111368
2022 年 · #111368
110年 - 110 經濟部所屬事業機構_新進職員甄試_電機(一)、電機(二)、儀電:1.電路學 2.電子學#103646
2021 年 · #103646
109年 - 109 經濟部所屬事業機構_新進職員甄試_電機、儀電:1.電路學 2.電子學#92825
2020 年 · #92825
108年 - 108 經濟部所屬事業機構_新進職員甄試_電機、儀電:1.電路學 2.電子學#80841
2019 年 · #80841
107年 - 107 經濟部所屬事業機構_新進職員甄試_電機、儀電:1.電路學 2.電子學#92331
2018 年 · #92331
107年 - 107 中華郵政股份有限公司_職階人員甄試_營運職/電機工程:電路學與電子學#68276
2018 年 · #68276