阿摩線上測驗 登入

試題詳解

試卷:109年 - 109 經濟部所屬事業機構_新進職員甄試_土木、機械:1.應用力學 2.材料力學#92866 | 科目:國營事業◆1.應用力學 2.材料力學

試卷資訊

試卷名稱:109年 - 109 經濟部所屬事業機構_新進職員甄試_土木、機械:1.應用力學 2.材料力學#92866

年份:109年

科目:國營事業◆1.應用力學 2.材料力學

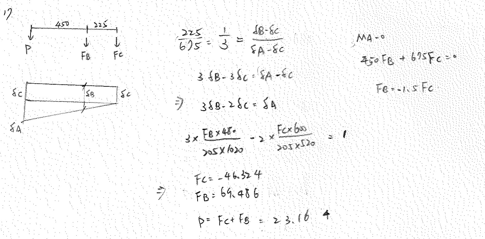
17. 桿件與梁構件組合如下圖所示,BD及CE桿件斷面尺寸分 別為1,020 mm2 及520 mm2,桿件彈性模數E = 205 GPa,梁構件ABC為剛體,如A點極限位移量為1.0 mm,請計算最大容許P荷重為何?
5fb31edfa6938.jpg
(A) 11.6 kN
(B) 17.4 kN
(C) 23.2 kN
(D) 46.4 kN

正確答案:登入後查看

詳解 (共 1 筆)

推薦的詳解#4399378
未解鎖


(共 1 字,隱藏中)
前往觀看
6
0