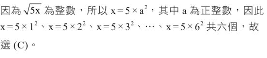
17. 若x為正整數,且x < 200,則使得
為整數的x共有幾個?
(A) 2
(B) 4
(C) 6
(D) 8
答案:登入後查看
統計: A(64), B(38), C(306), D(26), E(0) #1790501
統計: A(64), B(38), C(306), D(26), E(0) #1790501
詳解 (共 3 筆)
#4134890


5
0
#3130889
X<200,又根號5X為正整數,則5X為5的倍數
另X=195,190.185,180.175,170,165,160,155,150,145,140,
135,130,125,120,115,110,105,100,95,90,85,80,75,70,
65,60,55,50,45,40,35,30,25,20,15,10,5 代入求解
計算過程之舉例:
195=3x5x13,根號5X=根號5x3x5x13(不是整數,X=195不合)
180=5x6x6,根號5X=根號5x5x6x6(是整數36,X=180合)
故X=180,125,80,45,20,5
1
0