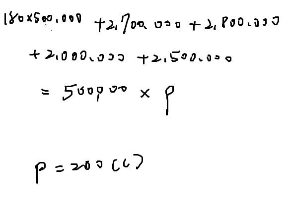
18 乙公司 X1 年度將銷售一款新型商品,新商品第 1 年上市估計僅能銷售 500,000 單位,單位變動 成本$180。 估計固定成本將包括折舊費用$2,700,000,租金費用$2,800,000,管理費用$2,000,000,以及廣告費 用$2,500,000。 試問乙公司欲在 X1 年度達成損益兩平目標,對於新型商品的單位售價應設定之金額為何?
(A)$191
(B)$195
(C)$200
(D)$202
答案:登入後查看
統計: A(3), B(5), C(64), D(6), E(0) #3674999
統計: A(3), B(5), C(64), D(6), E(0) #3674999
詳解 (共 2 筆)
#7127851
損益兩平點:銷售量= 固定成本/ (單位售價- 單位變動成本)
固定成本=$2,700,000+$2,800,000+$2,000,000+$2,500,000
=$10,000,000
=$10,000,000
損益兩平點:$500,000=$10,000,000/(單位售價-$180)
單位售價=$200
ㅤㅤ
0
0
#7169462

0
0