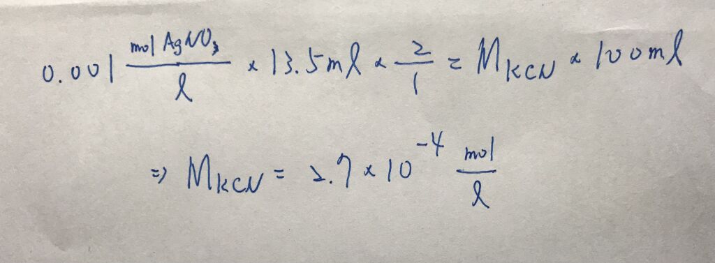
2. 無良人士以 KCN 毒魚,造成溪流中魚群集體暴斃,因此取 100ml 樣水用李比希法(Liebig)
進行檢驗溪水中
的量,共用了 0.001M 的 AgNO3溶液 13.50ml,試問溪流中
的體積莫耳濃度為多少 M?
(A)
(B)
(C)
(D)
答案:登入後查看
統計: A(3), B(4), C(1), D(0), E(0) #2923443
統計: A(3), B(4), C(1), D(0), E(0) #2923443
詳解 (共 2 筆)
#5686593

0
0
#7271845
Ag++2CN−→[Ag(CN)2]−
0
0