阿摩線上測驗
登入
首頁
>
國營事業◆1.電路學 2.電子學
>
97年 - 97 經濟部所屬事業機構_新進職員甄試試題_電機、儀電:電路學#137022
> 試題詳解
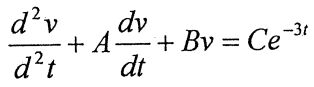
21.承上題,t>0時v(t)的微分方程式為
,則A值為何?
(A) 3
(B) 5
(C) 7
(D) 9
答案:
登入後查看
統計:
尚無統計資料
相關試題
2.承上題,C2電容所儲存的能量為何?(A) 2.39 uJ (B) 5.12 uJ (C) 11.25 uJ (D) 18.76 uJ
#3805440
3.將2庫倫的正電荷由A點移到B點需要作功6焦耳,則A與B兩點間的電壓差是多少?(A) 12 V (B) 6 V (C) 3 V(D) 1.5 V
#3805441
4.其中Va電壓值為何?(A) 4 V (B) 2 V(C) -4 V (D) -2 V
#3805442
5.承上題,i1電流值為何?(A) 2.6 mA (B) 2 mA(C) 1.4 mA (D) 0.8 mA
#3805443
6.承上題,i2電流值為何?(A) -16 mA (B) -4 mA (C) 4 mA(D) 16 mA
#3805444
7.其中i1電流值為何?(A) 8.5 A (B) 7.5 A(C) 6.5 A (D) 5.5 A
#3805445
8.承上題,i2電流值為何?(A) 4.5 A (B) 3.5 A(C) 2.5 A (D) 1.5 A
#3805446
9.承上題,i3電流值為何?(A) 4.0 A (B) 3.5 A (C) 3.0 A (D) 2.5 A
#3805447
10.若RL要有最大功率,則RL值為何? (A) 13.6 Ω (B) 13.0 Ω(C) 12.4 Ω (D) 11.8Ω
#3805448
11.承上題,RL的最大功率值為何? (A) 3.45 W (B) 3.05 W(C) 2.65 W (D) 2.25 W
#3805449
相關試卷
114年 - 114 台灣電力公司_大學及研究所獎學金甄選試題_電驛:電路學、電子學及保護協調#137052
2025 年 · #137052
114年 - 114 經濟部所屬事業機構_新進職員甄試試題_電機、儀電:1 .電路學 2 .電子學#136976
2025 年 · #136976
113年 - 113 經濟部所屬事業機構_新進職員甄試_電機(一)、電機(二)、儀電:電路學、電子學#123749
2024 年 · #123749
112年 - 112 經濟部所屬事業機構_新進職員甄試試題_電機、儀電:1.電路學 2.電子學#116960
2023 年 · #116960
111年 - 111 經濟部所屬事業機構_新進職員甄試_電機(一)、電機(二)、儀電:1.電路學 2.電子學#111368
2022 年 · #111368
110年 - 110 經濟部所屬事業機構_新進職員甄試_電機(一)、電機(二)、儀電:1.電路學 2.電子學#103646
2021 年 · #103646
109年 - 109 經濟部所屬事業機構_新進職員甄試_電機、儀電:1.電路學 2.電子學#92825
2020 年 · #92825
108年 - 108 經濟部所屬事業機構_新進職員甄試_電機、儀電:1.電路學 2.電子學#80841
2019 年 · #80841
107年 - 107 經濟部所屬事業機構_新進職員甄試_電機、儀電:1.電路學 2.電子學#92331
2018 年 · #92331
107年 - 107 中華郵政股份有限公司_職階人員甄試_營運職/電機工程:電路學與電子學#68276
2018 年 · #68276