23 下列藥品中那一個最適合治療黑色素細胞癌(malignant melanoma)?
(A) Tamoxifen
(B) Dacarbazine
(C) Methotrexate
(D) Erythromycin
答案:登入後查看
統計: A(47), B(760), C(159), D(11), E(0) #448106
統計: A(47), B(760), C(159), D(11), E(0) #448106
詳解 (共 9 筆)
#847920
5
0
#844005
Dacarbazine is an antineoplastic chemotherapy drug used in the treatment of various cancers, among them malignant melanoma惡性黑色瘤, Hodgkin lymphoma, sarcoma, and islet cell carcinoma of the pancreas.
5
1
#5793424
Dac-->Dark
4
0
#3634341
ABVD中的D
2
0
#6217254
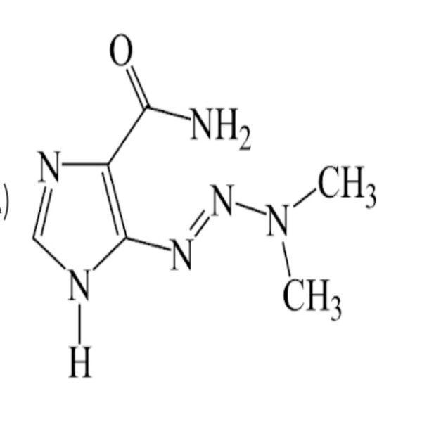
抗癌藥dacarbazine在酸中會產生中間產物偶氮離子(diazonium ion)
代謝經由N-Demethylation而活化,在體內會形成methyl carbocation甲基碳陽離子
作用機轉:可使DNA 產生甲基化,而產生抗黑色素癌作用

0
0