所屬科目:專技 - 藥理學與藥物化學
1.一藥物的分布體積(volume of distribution)可以反映該藥物與人體組織或血漿蛋白結合的情形,有關藥物分布體積的敘述,下列何者正確? (A)與血漿蛋白結合比例越高者,其分布體積越大 (B)digoxin 在骨骼肌肌肉量少的老年人有較大的分布體積 (C)theophylline 在同體重的肥胖者或非肥胖者之分布體積大致相等 (D)gentamicin 在肋膜積水(pleural effusion)病人的分布體積會變小
2.有關治療指數(therapeutic index)的敘述,下列何者正確? (A)therapeutic index = median effective dose/median lethal dose (B)therapeutic index = median effective dose/daily dose (C)therapeutic index = median lethal dose/median effective dose (D)therapeutic index = daily dose/median effective dose
3.下列治療肺結核藥物第一線用藥之敘述,何者正確? (A)isoniazid 主要由肝臟之 N-acetyltransferase 代謝 (B)rifampin 抑制肝臟 cytochrome P450 酵素,使其他藥物之藥效增加 (C)ethambutol 抑制結核分枝桿菌細胞膜生合成 (D)pyrazinamide 在鹼性環境下藥效較強
4.下列抗癌藥物與其藥理作用標的之配對,何者錯誤? (A)methotrexate:dihydrofolate reductase (B)irinotecan:topoisomerase II (C)sorafenib:receptor tyrosine kinases (D)5-fluorouracil:thymidylate synthase
5.針對罹患 estrogen receptor(ER)-positive, human epidermal growth factor receptor 2(HER2)- negative 乳癌的停經後婦女,可使用賀爾蒙相關藥物進行治療,但不包括下列何者? (A)tamoxifen (B)fulvestrant (C)anastrozole (D)pertuzumab
6.下列抗病毒藥物中,何者的臨床用途僅限於治療 A 型流感病毒之感染? (A)peramivir (B)amantadine (C)oseltamivir (D)zanamivir
7.下列抗黴菌藥物中,何者可干擾麥角固醇(ergosterol)生成,並使黴菌細胞內鯊烯(squalene)堆積而產生 毒性? (A)flucytosine (B)nystatin (C)posaconazole (D)terbinafine
8.下列何者常用於治療吸蟲(trematodes)感染,為治療血吸蟲病(schistosomiasis)之首選藥物? (A)albendazole (B)metronidazole (C)ivermectin (D)praziquantel
9.關於凝血酶抑制劑(thrombin inhibitor)之敘述,下列何者錯誤? (A)dabigatran 半衰期長(約 12-17 小時),能口服使用 (B)fondaparinux 半衰期長(約 15 小時),不易有 thrombocytopenia 副作用 (C)腎功能有問題的病人需要調整 lepirudin 的劑量 (D)tinzaparin 能抑制 vitamin K epoxide reductase
10.下列何者藥物能最有效控制 apixaban 所造成的嚴重出血? (A)andexanet alfa (B)protamine (C)vitamin K1 (D)idarucizumab
11.有關免疫抑制劑與其藥理機轉的組合,下列何者錯誤? (A)tacrolimus—抑制 calcineurin (B)sirolimus—抑制 molecular target of rapamycin(mTOR) (C)mycophenolate mofetil—抑制 pyrimidine synthesis (D)tofacitinib—抑制 JAK enzymes
12.下列類固醇藥物中,何者屬於長效型(long-acting glucocorticoids)製劑? (A)cortisone (B)triamcinolone (C)prednisone (D)dexamethasone
13.下列何者能拮抗 progesterone receptor,可作為懷孕初期的墮胎藥? (A)mifepristone (B)cyproterone (C)bicalutamide (D)desmopressin
14.下列藥物中,何者屬於 selective estrogen receptor modulators,可抑制骨吸收,且比較不具有乳腺或子 宮內膜增生之副作用? (A)ibandronate (B)raloxifene (C)denosumab (D)calcitonin
15.長期使用 propranolol 或高劑量 clonidine 治療高血壓,若驟然停藥,前者可能造成心絞痛或惡化心臟病, 後者會引發高血壓危象(hypertensive crisis),其可能機制為何? (A)長期使用 propranolol 會誘導心臟血管β2 receptor 表現增加,驟然停藥,會導致低血壓、惡化心臟病 (B)長期使用高劑量 clonidine 會誘導突觸後神經元α1 receptor 表現增加,增加交感神經興奮引發高血壓危象 (C)長期使用 propranolol 會誘導心臟心肌β1 receptor 表現減少,驟然停藥,造成心絞痛、惡化心臟病 (D)長期使用高劑量 clonidine 會誘導突觸前神經元α2 receptor 表達減少,減少負回饋抑制,引發高血壓危象
16.下列何者為血管選擇性高、短效型鈣離子管道阻斷劑,禁止使用在急性冠心症? (A)nifedipine (B)amlodipine (C)verapamil (D)diltiazem
17.下列何者不是 loop diuretics 之臨床適應症? (A)hypokalemia (B)acute renal failure (C)acute pulmonary edema (D)hypertension
18.使用下列何者利尿劑治療高血壓時,可能會引起高血糖、LDL 增加或高尿酸血症,應小心使用於糖尿病、高 血脂或痛風之患者? (A)furosemide (B)metolazone (C)spironolactone (D)amiloride
19.腎臟中 vasopressin receptors 能調控 aquaporin water channel,下列何者利尿劑能選擇性抑制腎臟中 vasopressin V2 receptor,達到利尿作用? (A)desmopressin (B)conivaptan (C)tolvaptan (D)metolazone
20.Flumazenil 對 受體的苯二氮平(benzodiazepine)結合位具有高親和力,其臨床用途為何? (A)可做為長效型抗焦慮藥 (B)可做為促進全身麻醉之麻醉誘導劑 (C)可做為苯二氮平過量中毒之解毒劑 (D)可治療苯二氮平生理依賴之戒斷症狀
21.下列中草藥中,何者最不會與抗高血壓藥物產生交互作用,而影響血壓? (A)Asian ginseng (B)St. John's wort (C)garlic (D)milk thistle
22.男孩被診斷為無機鉛中毒(inorganic lead poisoning),血鉛濃度為 75μg/dL。下列那一種螯合劑不適合 用於治療? (A)edetate calcium disodium (B)deferoxamine (C)dimercaprol (D)succimer +
23.下列治療糖尿病的藥物中,何者的主要作用機轉為阻斷胰臟β細胞的 ATP-sensitive channel? (A)voglibose (B)vildagliptin (C)pramlintide (D)nateglinide
24.強心劑可能誘發心律不整的作用機制,下列何者錯誤? (A)milrinone 抑制 phosphodiesterase 3,過度增加心肌細胞內 cGMP 濃度導致誘發心律不整 (B)digoxin 抑制 -ATPase,細胞內鈣離子過度負荷會誘發心律不整 (C)dobutamine 過度刺激β1 receptor 會誘發心律不整 (D)digoxin 與 spironolactone 併用時,spironolactone 會抑制 digoxin 代謝,誘發心律不整
25.治療 acute coronary syndrome 及 unstable angina 的抗血小板藥物及其機制之配對,下列何者正確? (A)aspirin,可逆抑制 cyclooxygenase-2 (B)clopidogrel,不可逆抑制 ADP receptor (C)abciximab,不可逆抑制 glycoprotein IIb/IIIa (D)prasugrel,可逆抑制 ADP receptor
26.下列交感神經藥物中,何者臨床上可用於治療膀胱過動症(overactive bladder)? (A)mirabegron (B)clonidine (C)midodrine (D)phenylephrine
27.下列毒蕈鹼受體拮抗劑(muscarinic antagonists)中,何者最不適合用於治療尿失禁(urinary incontinence)或膀胱過動症(overactive bladder)? (A)homatropine (B)darifenacin (C)oxybutynin (D)tolterodine
28.下列藥物中,何者最適合用於治療肌萎縮性脊髓側索硬化症(amyotrophic lateral sclerosis)病人? (A)riluzole (B)baclofen (C)cyclobenzaprine (D)dantrolene
29.下列氣喘治療藥物中,何者屬於 anti-IgE 單株抗體,也可用於治療慢性蕁麻疹? (A)mepolizumab (B)omalizumab (C)reslizumab (D)dupilumab
30.Ondansetron 預防或治療下列原因引起的嘔吐,何者效果最差? (A)放射治療所引起的嘔吐 (B)化療藥物引起的嘔吐 (C)暈車引起的嘔吐 (D)手術引起的嘔吐
31.關於非類固醇抗發炎藥(NSAIDs)nabumetone 的敘述,下列何者錯誤? (A)半衰期短,需一日服用三次 (B)為非選擇性 cyclooxygenase 抑制劑 (C)引起的腸胃道副作用比許多其他 NSAIDs 温和 (D)其活性代謝物為 naphthylacetic acid
32.關於選擇性 COX-2 抑制劑之敘述,下列何者錯誤? (A)不易產生腸胃道之副作用 (B)不易產生腎毒性 (C)不易抑制血小板凝集 (D)不具有心臟血管保護作用
33.有關 brivaracetam 藥理性質的敘述,下列何者正確? (A)與 carbamazepine 併用時,會抑制 carbamazepine 的代謝 (B)與 phenytoin 併用時,會使 phenytoin 的血中濃度降低 (C)對神經細胞囊泡(vesicle)蛋白 SV2A 具有高親和力 (D)口服可迅速完全吸收,且高於 90%與血漿蛋白結合
34.下列何者是戒除類嗎啡成癮的治療藥物? (A)alcohol (B)methadone (C)marijuana (D)nicotine
35.關於 ramelteon 之敘述,下列何者正確? (A)是 serotonin 受體致效劑 (B)可能增加泌乳素的分泌 (C)具成癮性,會產生明顯的戒斷症狀 (D)fluvoxamine 會增加其由肝臟代謝
36.下列何者不是 carbamazepine 的適應症? (A)癲癇 (B)三叉神經痛 (C)躁鬱症 (D)帕金森氏症
37.使用多巴胺受體作用劑來治療帕金森氏症時,下列何者不是常見的副作用? (A)厭食現象(anorexia) (B)直立性低血壓(orthostatic hypotension) (C)腹瀉(diarrhea) (D)遲發性運動困難(tardive dyskinesia)
38.關於 tetrahydrocannabinol(THC)的敘述,下列何者正確? (A)會升高眼內壓 (B)會產生噁心嘔吐 (C)會降低食慾 (D)會造成視覺失真
39.天然物或是中草藥可能經由影響中樞神經系統而對於緩解特定疾病有幫助,下列何者最不會影響中樞神經系 統? (A)St. John's wort (B)melatonin (C)ginkgo biloba (D)astragalus root
40.Ginkgo 具有多種藥理活性,但不包括下列何者? (A)抗凝血作用 (B)增強記憶力 (C)止瀉作用 (D)抗氧化及清除自由基作用
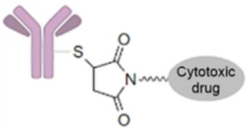
41.有關抗體偶聯藥物(ADC)常採用的連接子(linker),下列何者屬於非可裂解(noncleavable)? (A) (B) (C) (D)
42.下列藥物中,何者最不易在胃中被吸收? (A) (B) (C) (D)
43.有關抗癌藥 trastuzumab,其結構組成為何? (A)human constant region+murine variable region (B)human Fc region+murine Fab region (C)murine complementarity-determining regions(CDRs),抗體其餘部分則源自 human (D)murine Fc region+human Fab region
44.下列何種官能基在生理環境下,主要呈鹼性狀態? (A)diarylamine (B)amidine (C)amide (D)nitrile
45.藥物分子與受體結合時,下列何者的鍵能最高? (A)氫鍵 (B)共價鍵 (C)離子鍵 (D)凡得瓦爾力
46.根據結構活性關係(SAR),下列藥物結構何者為 cholinergic agonist? (A) (B) (C) (D)
47.下列何者為 cabergoline 之主要代謝反應? (A)水解 (B)氧化 (C)還原 (D)乙醯化
48.體內何種酵素過度活化,可導致 codeine 具呼吸抑制之風險? (A)CYP2C (B)CYP3A4 (C)CYP2D6 (D)UGT2B7
49.下列何者抗巴金森氏症作用最強? (A) (B) (C) (D)
50.下列降血糖藥,何者為α-glucosidase 抑制劑? (A)metformin (B)acarbose (C)sitagliptin (D)pioglitazone
51.下列何種藥物作用在 -ATPase 而抑制胃酸分泌? (A) (B) (C) (D)
52.下列何者為治療痛風的藥物? (A) (B) (C) (D)
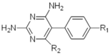
53.下圖結構中 R1 與 R2 為何種取代基時,則為 pyrimethamine?
(A)R1=H,R2=CH3 (B)R1=F,R2=C2H5 (C)R1=Cl,R2=C2H5 (D)R1=CH3,R2=F
54.Anastrozole 結構中,何種基團可與 aromatase 的 heme 結合,而抑制其氧化反應? (A)morpholine (B)oxirane (C)quinazoline (D)triazole
55.下列頭孢菌素中,何者可口服且結構具 vinyl 基團? (A)cefotaxime (B)ceftizoxime (C)ceftibuten (D)cefixime
56.抗病毒藥 valacyclovir 相對於 acyclovir,最主要優點為何? (A)降低抗藥性 (B)降低毒性 (C)提高口服生體可用率 (D)提高安定性
57.Atenolol、esmolol、propranolol 均屬β-adrenergic blockers,下列敘述何者錯誤?
(A)atenolol 是β1-selective blocker (B)propranolol 為 non-selective blocker (C)esmolol 是前驅藥(prodrug),需經 esterase 水解才有活性 (D)三者中以 propranolol 親脂性最高,最易進入 CNS
58.下列何種局部麻醉藥因 pH 值問題,不建議使用注射劑型? (A)procaine (B)articaine (C)ropivacaine (D)benzocaine
59.下圖為 morphine 類藥物的結構通式,有關 morphine 類止痛藥之敘述,下列何者錯誤?
(A)屬 phenanthrene 架構 (B)R1 為含有 cyclopropylmethyl 基團則會產生μ受體拮抗作用 (C)R2 為 OH 可增加與μ及κ受體親和力 (D)R3 為 ketone 及 C-7、C-8 之間為單鍵,可降低μ受體親和力
60.下列何者不是 ketamine(結構如下圖)之代謝產物?
(A)3-hydroxynorketamine (B)4-hydroxynorketamine (C)5-hydroxynorketamine (D)6-hydroxynorketamine
61.下列何者為 zolpidem 之主要代謝產物? (A) (B) (C) (D)
62.下圖化合物兩個氮原子間的碳數(n)為多少時,其抗思覺失調症的活性最佳?
(A)1 (B)2 (C)3 (D)4
63.將 meperidine(結構如下圖)之 N 上甲基,修飾為下列何者時,可作為止瀉劑?
(A) (B) (C) (D)
64.下列有關抑制膽固醇吸收藥物 ezetimibe(結構如下圖)之敘述,何者正確?
(A)phenol 可接上葡萄糖醛酸(glucuronic acid)形成具活性代謝物 (B)lactam 環變大可增加活性 (C)lactam 水解後活性加強 (D)對位氟原子可促進苯環氧化以增加活性
65.Statin 降血脂藥物可能會因為下列何種酵素被抑制,而增加橫紋肌溶解之副作用? (A)lipoprotein lipase (B)CYP3A4 (C)7α-hydroxylase (D)desmolase
66.下列有關 clonidine 之敘述,何者正確? (A)結構中具有 pyridine 雜環基團 (B)藥理活性作用類似 methoxamine (C)主要代謝為 aromatic hydroxylation (D)口服生體可用率差,建議靜脈注射給藥
67.下列有關強心苷 digoxin 之敘述,何者錯誤? (A)具有 C-12 OH,極性大於 digitoxin (B)C-3 OH 連接的醣基為 3 個 digitoxoses (C)digoxin 主要經由肝臟代謝 (D)結構中 digoxigenin 即具有活性
68.下列 1,4-dihydropyridine 鈣離子通道抑制劑中(結構通式如下圖),何者之取代基 R1≠R4?
(A)amlodipine (B)felodipine (C)clevidipine (D)nisoldipine
69.下列有關 alteplase 之敘述,何者錯誤? (A)為組織纖溶酶原活化劑 (B)為蛋白酶 (C)為單株抗體藥 (D)可由基因重組技術製得
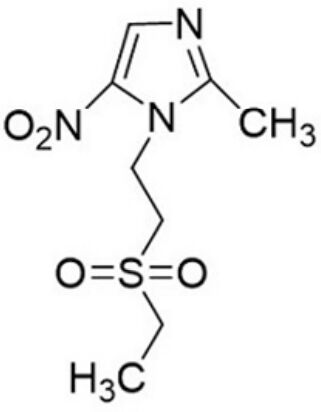
70.下列何者不是前驅藥(prodrug)? (A) (B) (C) (D)
71.下列有關 propylthiouracil 之敘述,何者錯誤? (A)可抑制甲狀腺素的生成 (B)可抑制周邊 T4 之去碘化(deiodination) (C)孕婦不可使用 (D)可能造成肝毒性
72.下列何種離子無法阻斷甲狀腺的鈉碘同向運送蛋白(sodium/iodide symporter)? (A) (B) (C) (D)
73.下列何者為 diclofenac 之結構? (A) (B) (C) (D)
74.下列何者是 meclofenamic acid 的活性代謝物? (A) (B)(C) (D)
75.抗黴菌藥 tavaborole(結構如下圖),其作用機制為:
(A)插入黴菌細胞膜,導致細胞內容物外漏 (B)抑制β-1,3-D-glucan synthase,阻止細胞壁合成 14 (C)抑制Δ -reductase,抑制 ergosterol 生合成,阻止細胞壁合成 (D)結合於 tRNA 末端之 adenosine,阻止蛋白質生合成
76.依據 CDK4/6 inhibitors 的 SAR,下列何種基團可與 hinge region adenine site 結合? (A)2-aminopyrimidine (B)2-hydroxyacetic acid (C)piperazine (D)stilbene
77.下列何種藥物較不會代謝生成具肝毒性的 quinoneimine?
(A) (B)(C)(D)
78.抗原蟲藥(結構如下圖),其名稱為:
(A)metronidazole (B)tinidazole (C)nitazoxanide (D)diloxanide furoate
79.Taxane 類抗癌藥具有下列何種雜環結構? (A)pyran (B)tetrahydrofuran (C)oxetane (D)lactam
80.下列有關 bortezomib 之敘述,何者錯誤? (A)為 boronic acid 衍生物 (B)結構具 pyrazine 環 (C)為酪胺酸激酶抑制劑 (D)可治療多發性骨髓瘤