阿摩線上測驗
登入
首頁
>
國營事業◆1.應用力學 2.材料力學
>
111年 - 111 經濟部所屬事業機構_新進職員甄試_土木、機械:1.應用力學 2.材料力學#111360
> 試題詳解
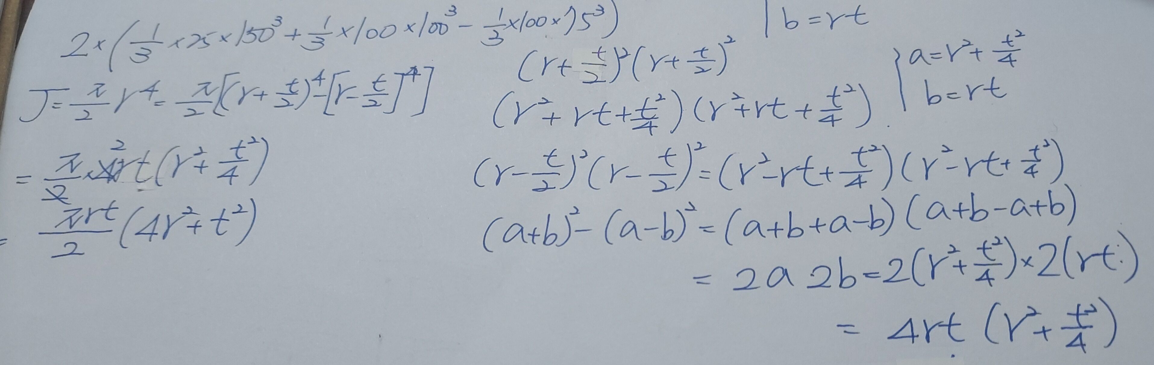
23. 如右圖所示,一圓管剖面,已知圓管厚度為t,圓管厚度中心到圓管中心之半徑為r,則該圓管的斷面極慣性矩為何?
(A)
(B)
(C)
(D)
答案:
登入後查看
統計:
A(12), B(15), C(47), D(9), E(0) #3010755
詳解 (共 2 筆)
小米
B2 · 2022/11/12
#5656463
(共 1 字,隱藏中)
前往觀看
12
0
24linjing
B3 · 2023/10/18
#5949129
4
0
相關試題
1. 有關材料的力學性質,下列敘述何者有誤? (A)常溫狀態下,材料降伏後至破壞前還能承受大量應變的材料,稱為延性材料 (B)常溫狀態下,材料破壞前未能產生大量應變的材料,稱為脆性材料 (C)若由不同方向對材料施力,各方向的受力行為皆相同者,稱為等向性材料 (D)線彈性材料若加載產生變形,卸載後無法回復原來的形狀
#3010733
2. 一均質彈性材料桿件,其斷面積為A,慣性矩為I,極慣性矩為J,若其楊氏模數為E,剪力模 數為G,試問下列何者與該桿件之剛度(Rigidity)無關? (A) GI (B) EA (C) GJ (D) EI
#3010734
3. 如右圖所示,一承受軸向力之桿件,其斷面 為鋼與鋁組成之方形斷面,A端固定,B端自 由並覆蓋一片剛性板施以軸向力P,若鋼的 彈性模數為210 GPa,鋁的彈性模數為70 GPa ,當P=20 kN時,鋼與鋁分擔之軸力值之比 值(P鋼 / P鋁)為何? (A) 1.0 (B) 3.0 (C) 6.0 (D) 9.0
#3010735
4. 如右圖所示之軸力系統,彈性模數E=1.6×104 kgf/cm2 ,AC段剖面積A1=200 cm2 ,CD段剖面積 A2=100 cm2 ,求C點的水平變位為何? (A) 0.00625 cm (←) (B) 0.01875 cm (←) (C) 0.0125 cm (→) (D) 0.03125 cm (→)
#3010736
5. 有一正方形平面,每邊長為2a,試求其對底邊軸之迴轉半徑為何? (A) (B) (C)(D)
#3010737
6. 如右圖所示之T型梁斷面,梁承受垂直剪力V=40 kN,則梁上最大垂直剪應力發生在距梁上翼緣頂端何處之位置? (A) 21 cm (B) 22 cm (C) 24 cm (D) 26 cm
#3010738
7. 如右圖所示,一簡支梁係由A、B兩種材料緊 密結合,已知材料A彈性模數EA=70 GPa,材 料B彈性模數EB=210 GPa,試求該斷面的最 大彎曲應力值為何?(A) 273.6 MPa (B) 364.8 MPa (C) 475.2 MPa (D) 521.3 MPa
#3010739
8. 如右圖所示,柱1之彎曲剛度為EI、長度為L1;柱2之彎曲剛 度為2EI、長度為L2,當柱1和柱2具有極為相近的臨界挫屈荷 重,試求L2/L1之比值為何? (A) 0.495 (B) 0.571 (C) 0.836 (D) 1
#3010740
9. 一中空圓軸,其外徑為20 cm,承受一扭矩後,其內壁產生之剪應力為200 kg/cm2 ,且外壁產 生之剪應力為500 kg/cm2 ,試求其內徑為多少? (A) 4 cm (B) 8 cm (C) 12 cm (D) 16 cm
#3010741
10. 如右圖所示,一均質線彈性之等剖面直桿,兩端固定,彈性模數為E ,熱膨脹係數為α,剖面積為A,長度為L,假設桿件溫度均勻上升 ∆T,試求端點a之反力為何? (A) Eα(∆T) (B) Eα(∆T)L (C) EAα(∆T) (D) EAα(∆T)L
#3010742
相關試卷
114年 - 114 經濟部所屬事業機構_新進職員甄試試題_土木、機械:1 .應用力學 2 .材料力學#136984
2025 年 · #136984
113年 - 113 經濟部所屬事業機構_新進職員甄試_土木、機械:1.應用力學 2.材料力學#125720
2024 年 · #125720
112年 - 112 經濟部所屬事業機構_新進職員甄試_土木、機械:1.應用力學 2.材料力學#116964
2023 年 · #116964
111年 - 111 經濟部所屬事業機構_新進職員甄試_土木、機械:1.應用力學 2.材料力學#111360
2022 年 · #111360
110年 - 110 經濟部所屬事業機構_新進職員甄試_土木、機械:1.應用力學 2.材料力學#103676
2021 年 · #103676
109年 - 109 經濟部所屬事業機構_新進職員甄試_土木、機械:1.應用力學 2.材料力學#92866
2020 年 · #92866
108年 - 108 經濟部所屬事業機構_新進職員甄試_土木、機械:1.應用力學 2.材料力學#80809
2019 年 · #80809
107年 - 107 經濟部所屬事業機構_新進職員甄試_土木、機械:1.應用力學 2.材料力學#76260
2018 年 · #76260
106年 - 106 經濟部所屬事業機構_新進職員甄試_土木、機械:1.應用力學 2.材料力學(重複)#81162
2017 年 · #81162
106年 - 106 經濟部所屬事業機構_新進職員甄試_土木、機械:1.應用力學#71725
2017 年 · #71725