阿摩線上測驗
登入
首頁
>
教甄◆數學
>
100年 - 100年中區聯盟 國小教甄 數學科#99501
> 試題詳解
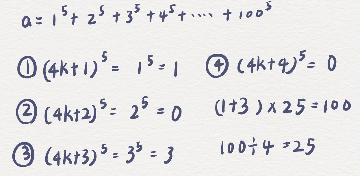
26 若
,則a 除以4 的餘數為何?
(A)0
(B)1
(C) 2
(D)3。
答案:
登入後查看
統計:
A(41), B(23), C(17), D(4), E(0) #2726234
詳解 (共 2 筆)
家寧已上榜~感謝阿摩
B1 · 2021/07/17
#4913807
(共 1 字,隱藏中)
前往觀看
3
0
miiii
B2 · 2023/04/27
#5790622
2
0
相關試題
27 某鎮同鄉會組成老人槌球隊,共有9 人,每人的胸前號碼依次為02、04、06、08、11、13、15、17、19,某次參加縣級比賽榮獲冠軍,接受表揚時九個人一字排開,赫然發現九位胸前號碼正好成一個十八位數,且已知隊長之年齡正好是此十八位數 除以99 之餘數,且隊長之年齡也正好是其胸前號碼的倍數,問隊長胸前號碼是幾號? (A)11 (B)15 (C)17 (D)19。
#2726235
28 甲:正整數123123456456 是7 的倍數。 乙:正整數 123123456456 是13 的倍數。 丙:正整數 123123456456 是91 的倍數。 丁:正整數 123123456456 是143 的倍數。 關於上述之甲、乙、丙、丁四個敘述,正確的共有幾個? (A)1 (B)2 (C)3 (D)4。
#2726236
29 29. 在一個8 × 8規格的西洋棋盤上,找出所有大小不同正方形的格子,共有多少個? (A)64 (B)113 (C)204 (D)301。
#2726237
30 甲:5183 是質數。乙:4307 是質數。丙:8633 是合成數。丁:6059 是合成數。關於上述之甲、乙、丙、丁四個 敘述,正確的共有幾個? (A)1 (B)2 (C)3 (D)4。
#2726238
31 某社團透過問卷調查當前最紅的三位學者A、B、C 之受喜歡情形,受訪者可以複選三位學者A、B、C,當然也可以不選三位學者A、B、C 中任一位,統計結果如下:喜歡A 的人數共計有22 人,喜歡B 的人數共計有25 人,喜歡C 的人數共計有39 人,喜歡A 且B 的人數共計有9 人,喜歡B 且C 的人數共計有15 人,喜歡A 且C 的人數共計有17 人,A、B、C 三人皆喜歡的人數共計有6 人,三人皆不喜歡的有6 人,問只喜歡學者A 的人數共計有?人 (A)1 (B)2 (C)3 (D)4。
#2726239
32 兩向量長度|a|=|b|=2 ,且兩向量的內積a‧b=–2,滿足 (a+b) 與 (a+tb) 互相垂直,計算t 值為何? (A)-3 (B)-1 (C)1 (D)3。
#2726240
33 甲:∠A 為鈍角,則稱三角形ΔABC 為鈍角三角形。 乙:∠A 為銳角,則稱三角形ΔABC 為銳角三角形。 丙:∠A 為直角,則稱三角形ΔABC 為直角三角形。 丁:所有等腰直角三角形均為相似三角形。 關於上述之甲、乙、丙、丁四個敘述,正確的共有幾個? (A)1 (B)2 (C)3 (D)4。
#2726241
34 S={a,b,c,d,e,f},令S 的子集為A,滿足子集A 的個數A =4,問共有幾個不同的子集A (A) C(6,0) (B) C(6,1) (C) C(6,2) (D) C(6,3) 。註:符號 C(n, m)表示排列組合的n 中取m 的組合數。
#2726242
35 展開 之個位數字為何? (A)1 (B)3 (C)7 (D)9。
#2726243
36 已知敘述p 為真,敘述q 為假,敘述r 為真, 甲:( p→q )∧ (q→r)。乙:p→(q∨r)。丙:q→∼r。丁:p→q。 關於上述之甲、乙、丙、丁四個敘述,恆真的共有幾個? (A)1 (B)2 (C)3 (D)4。
#2726244
相關試卷
115年 - 115 臺北市公立國民小學教師聯合甄選初試基礎類科知能試題:數學#139894
2026 年 · #139894
115年 - 115 教育部受託辦理公立高級中等學校教師甄選試題:數學科#139603
2026 年 · #139603
115年 - 115-1 國立彰化高級中學_教師甄選試題:數學科#139364
2026 年 · #139364
115年 - 115 臺北市立南港高級中學_正式教師甄選_高中數學科#139341
2026 年 · #139341
115年 - 115-1 新北市立板橋高級中學_正式教師甄選試題:數學科#139339
2026 年 · #139339
115年 - 115-1 臺北市立南湖高級中學_正式教師甄選試題:數學科#139253
2026 年 · #139253
115年 - 115 國立屏東大學_各師資類科教育學程甄選試題:數學#139246
2026 年 · #139246
115年 - 115 臺北市立陽明高級中學正式教師甄選試題:高中數學科#139228
2026 年 · #139228
115年 - 115 新北市公立高級中等學校_教師聯合甄選試題:數學科#139227
2026 年 · #139227
115年 - 115 臺北市立內湖高級工業職業學校_正式教師甄試:數學科#139221
2026 年 · #139221